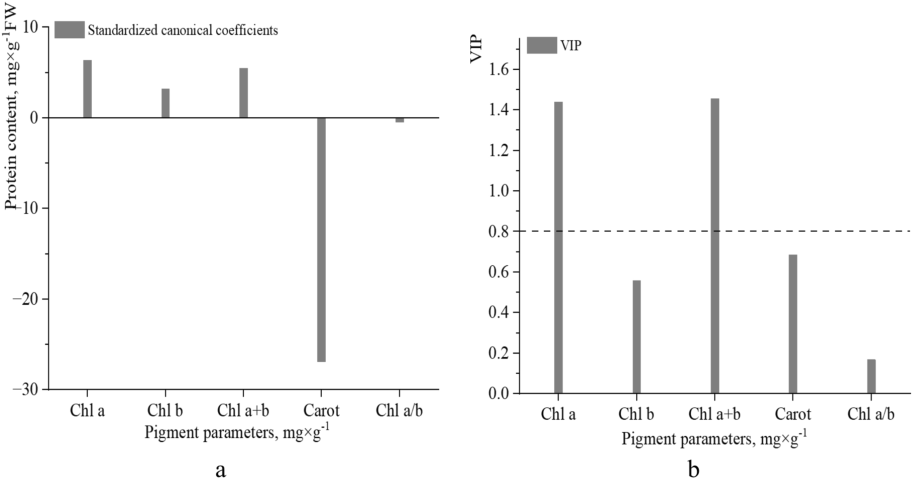
Fig. 11

Pigment traits in predicting protein content (mg × g⁻1 FW) in H. helix leaves based on the PLS regression model: (a) standardized canonical coefficients illustrating the direction and strength of the relationship; (b) variable importance in projection (VIP) scores. VIP > 1.0 are considered important predictors.