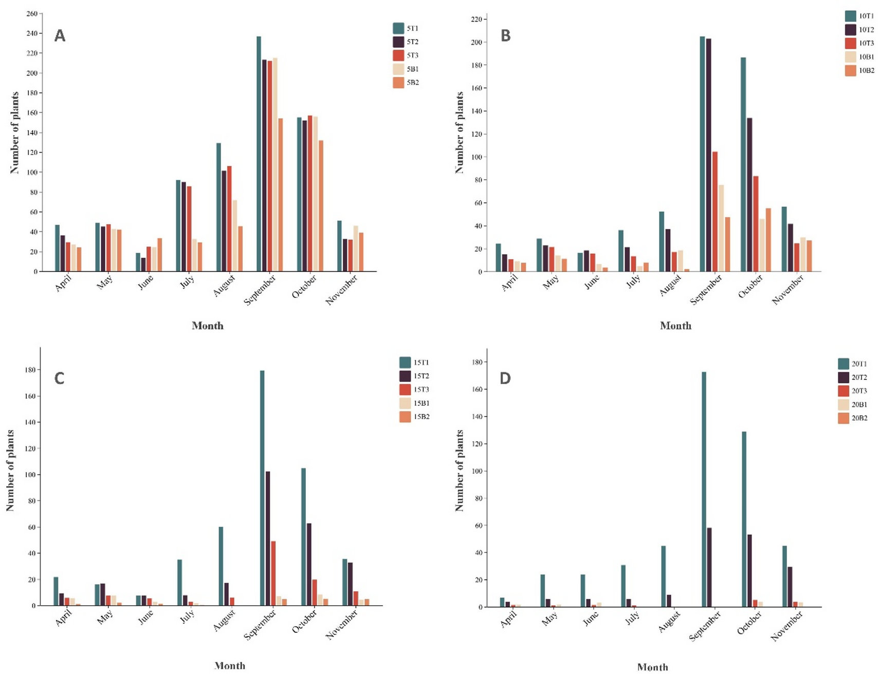
Fig. 2

Seedling emergence of P. ternata at different sowing depths for various particle sizes. A The number of seedlings of different particle sizes of P. ternata at a depth of 5 cm; B The number of seedlings of different particle sizes of P. ternata at a depth of 10 cm; C The number of seedlings of different particle sizes of P. ternata at a depth of 15 cm; D Number of P. ternata seedlings of different particle sizes at a depth of 20 cm. T1: tubers size in 2.0–1.6 cm; T2: tubers size in 1.4–1.2 cm; T3: tubers size in 1.0–0.8 cm; B1: bulbils size in 1.0–0.8 cm; B2 bulbils size in 0.8 –0.6 cm.