Fig. 2
From: Hallmark features of conventional BCS superconductivity in 2H-TaS2

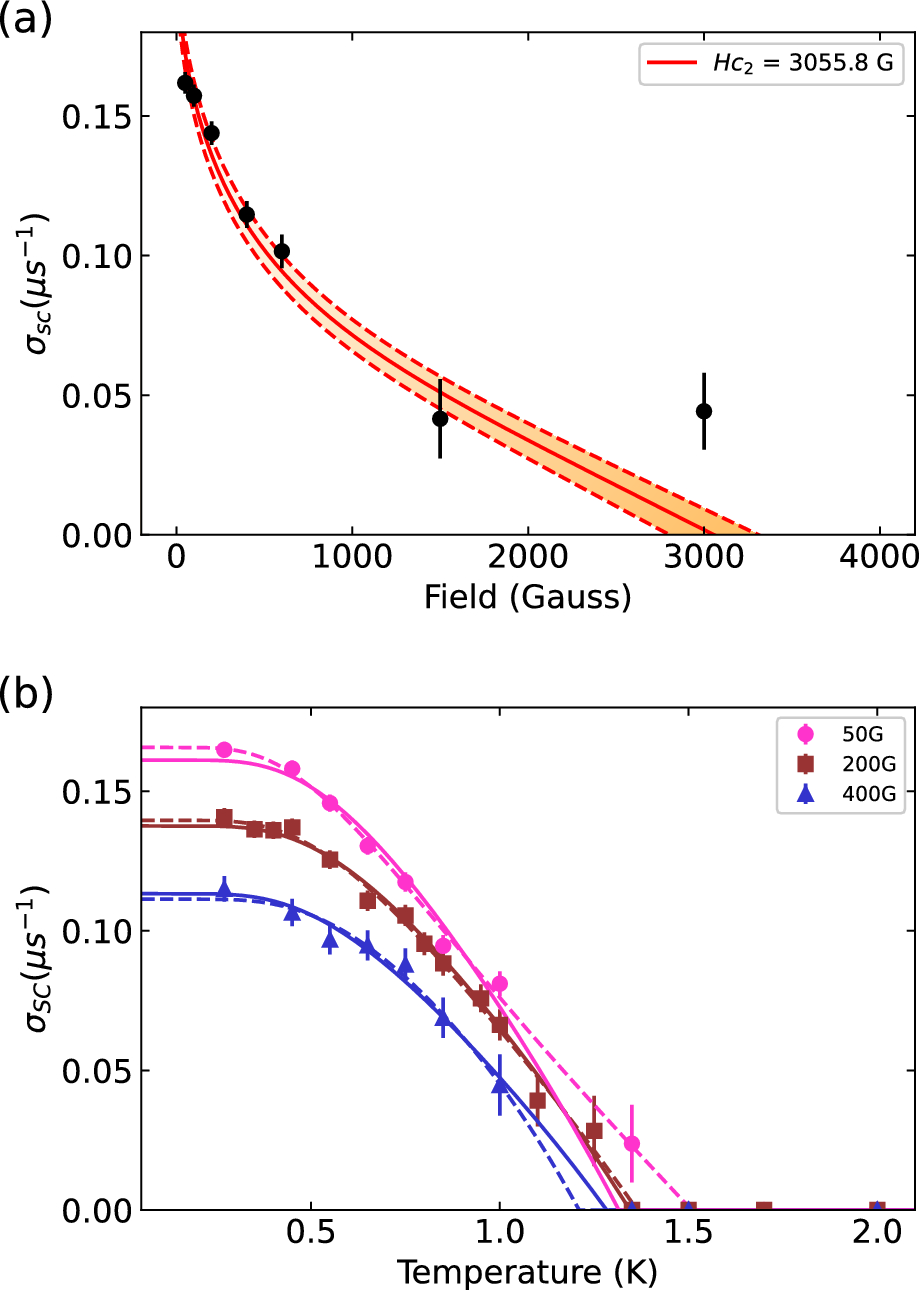
Field and temperature dependence of superconducting depolarization rate in 2H-TaS2. (a) Field dependence of the superconducting muon spin depolarization rate (\(\sigma _{\textrm{SC}}\)) measured at \(T = 0.27\) K. The solid line represents a fit using Brandt’s formula, yielding an upper critical field (\(H_{c2}\)) of \(3056 \pm 505\) G. The final data point at 3000 G was excluded due to saturation effects in the measured depolarization rates, indicating an experimental limitation rather than an intrinsic property. Shaded areas and dashed lines indicate the fitting uncertainty. (b) Temperature dependence of \(\sigma _{\textrm{SC}}\) measured at applied fields of 50 G, 200 G, and 400 G. Dashed lines represent fits using a single-gap s-wave superconducting model, and the solid lines show fits according to the BCS model with fixed gap \(\Delta (0)=1.764\,k_\textrm{B}T_\textrm{c}\). Values less than the nuclear contribution are set to zero.