Fig. 3
From: Hallmark features of conventional BCS superconductivity in 2H-TaS2

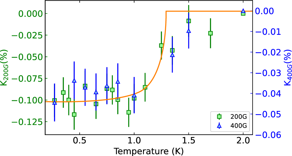
Temperature dependence of the Knight shift in 2H-TaS2. Knight shift measurements at applied fields of 200 G (green squares, left axis) and 400 G (blue triangles, right axis). A clear reduction in the Knight shift is observed below the superconducting transition temperature, consistent with spin-singlet pairing of Cooper pairs. The solid line is a guide to the eye illustrating the trend.