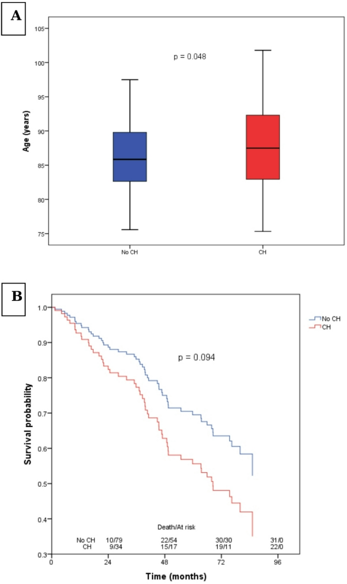
Fig. 2

(A) Box plot illustrating the age comparison between the CH and no-CH groups. (B) Age-adjusted predicted survival curve comparison between the CH and no-CH groups.

(A) Box plot illustrating the age comparison between the CH and no-CH groups. (B) Age-adjusted predicted survival curve comparison between the CH and no-CH groups.