Fig. 13
From: Meta simulation approach for evaluating machine learning method selection in data limited settings

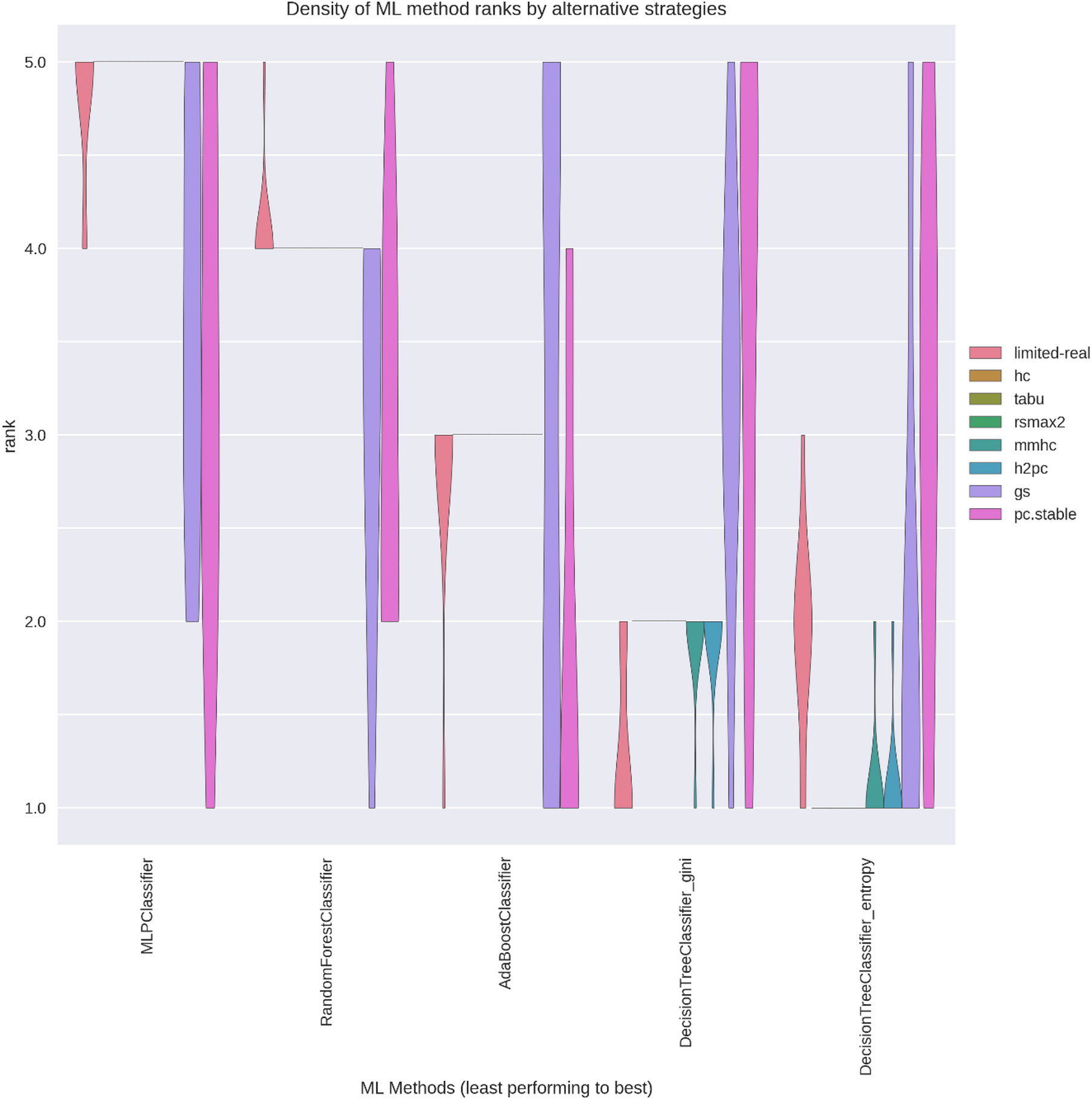
ANDES violin plots of rank-order density by SL across ML methods.
From: Meta simulation approach for evaluating machine learning method selection in data limited settings

ANDES violin plots of rank-order density by SL across ML methods.