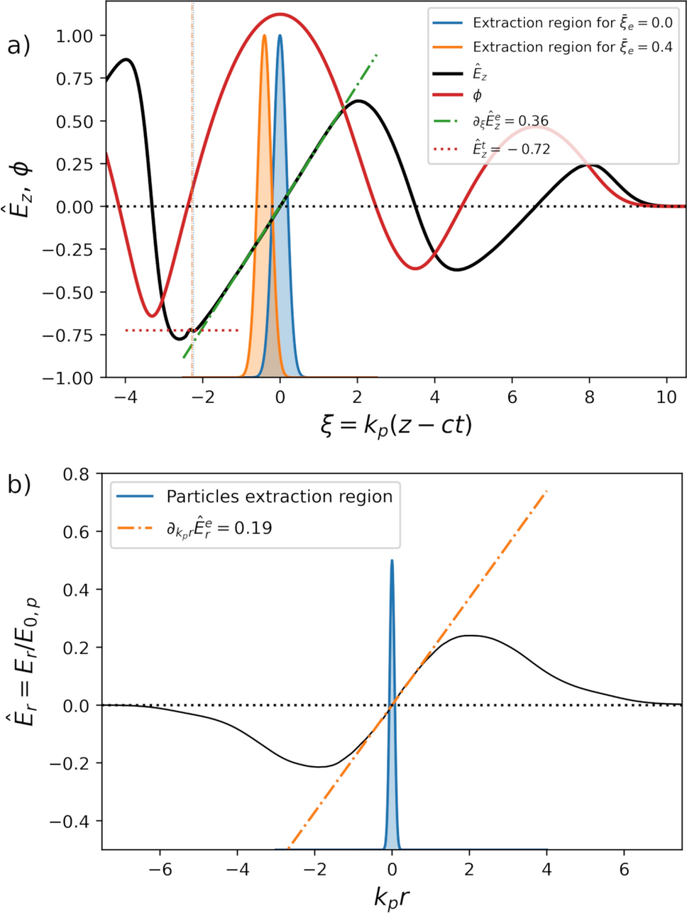
Fig. 6

Electric field and potential at the beam trapping point. (a) On-axis line-out of the normalized accelerating gradient (black line). The longitudinal extraction regions for the cases of ionization pulses centered on the node of the accelerating gradient (\(\bar{\xi }_e=0\)) and on \(\bar{\xi }_e=-0.4\) are shown in blue and orange, respectively. The trapping positions for the two cases are inferred by using the potential \(\phi (\xi )\) (red line), leading to \(\bar{\xi }_t = -2.24,\, -2.28\), respectively (see the almost overlapping vertical dashed lines). (b) Transverse line-out of the radial electric field at \(\xi =0\). The field is linear around the axis, with gradient \(\partial _{k_p r_e} {\hat{E}}^e_r=\frac{\partial }{\partial k_p r}E_r/E_{0,p}|_e\simeq 0.19\). The radial extent of the extraction region is shown in blue.