Fig. 2
From: Association between pain sensitivity and distance from the affected level of disc herniation

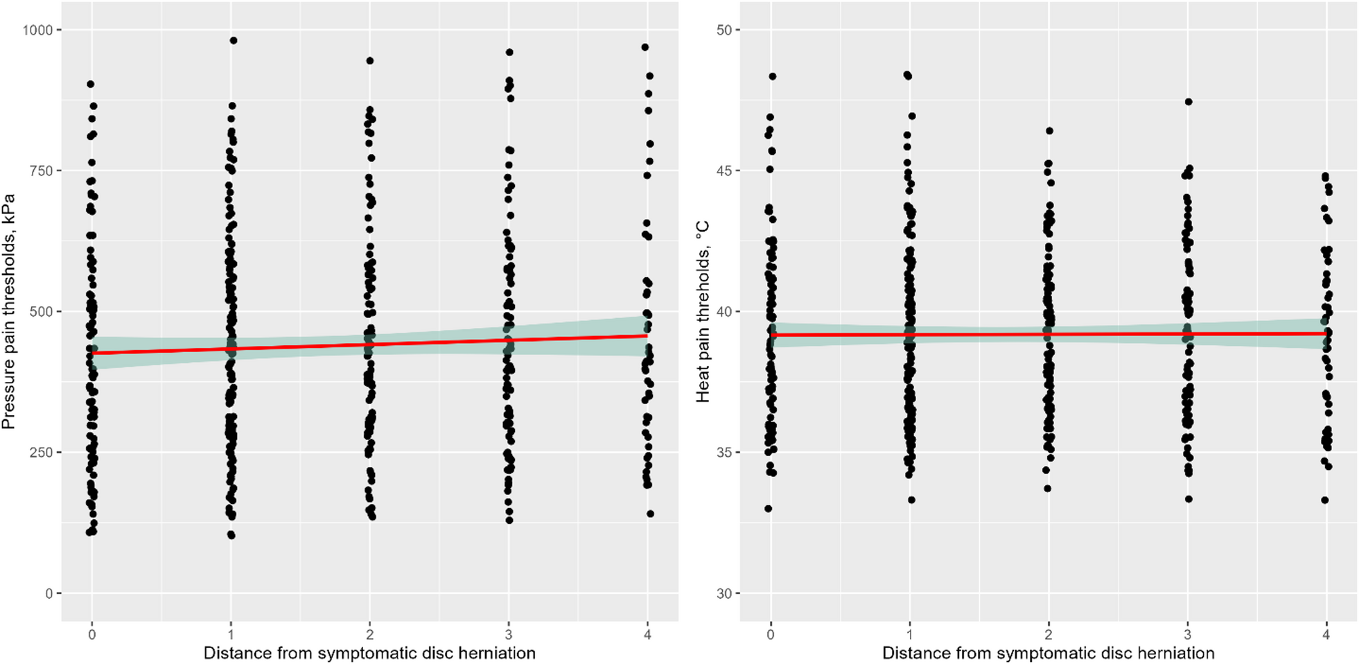
The association between the distance from the symptomatic level of disc herniation and pressure pain thresholds (left panel) and heat pain thresholds (right panel).