Fig. 8
From: Fault-class coverage–aligned combined training for AFDD of AHUs across multiple buildings

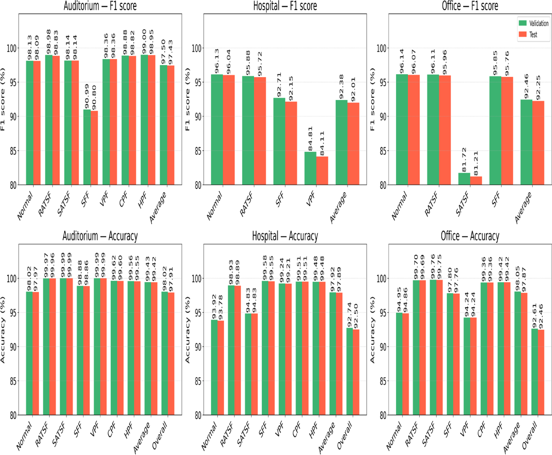
Class-wise F1 score and accuracy comparison of validation and test results.
From: Fault-class coverage–aligned combined training for AFDD of AHUs across multiple buildings

Class-wise F1 score and accuracy comparison of validation and test results.