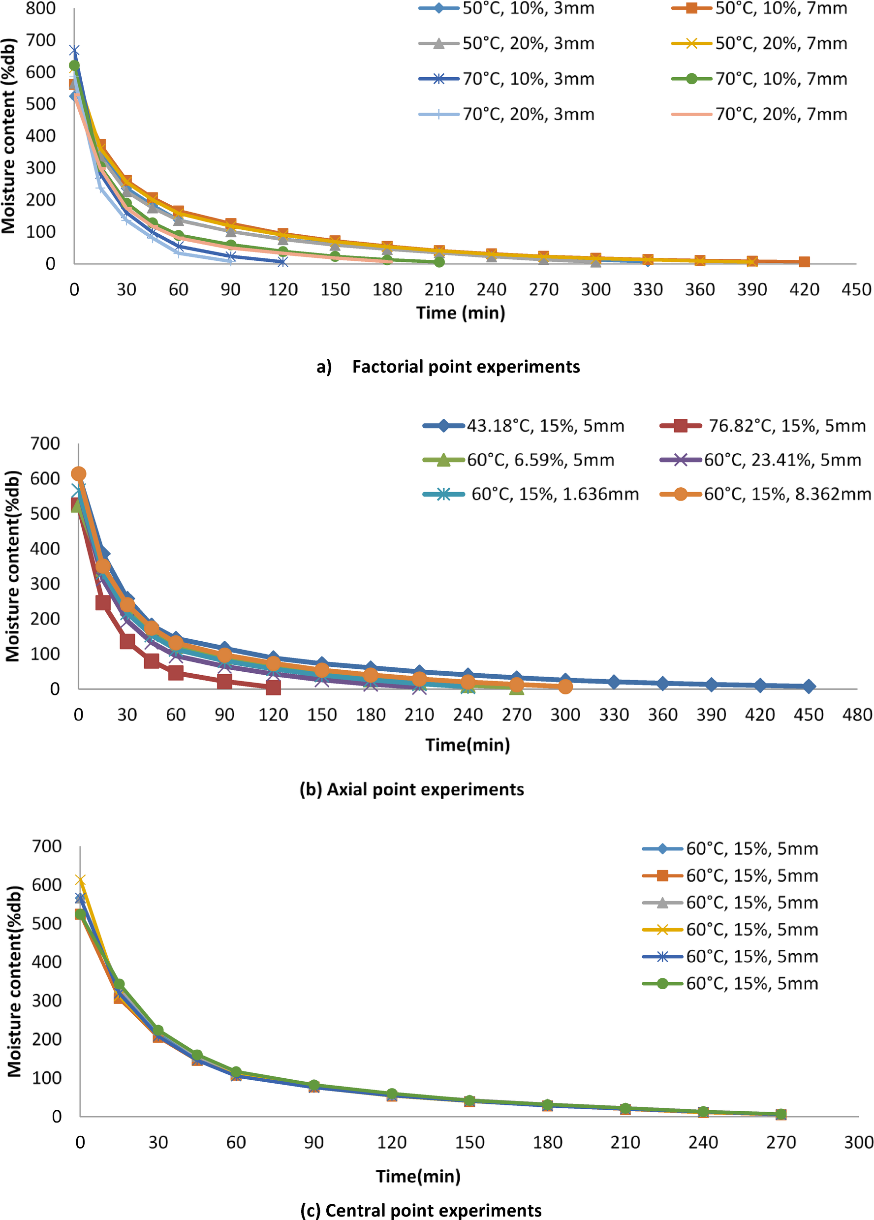
Fig. 2

Variation of the moisture content (%db) with drying time (min) at different temperature, NaCl concentration and bed thickness at factorial, axial and central points.

Variation of the moisture content (%db) with drying time (min) at different temperature, NaCl concentration and bed thickness at factorial, axial and central points.