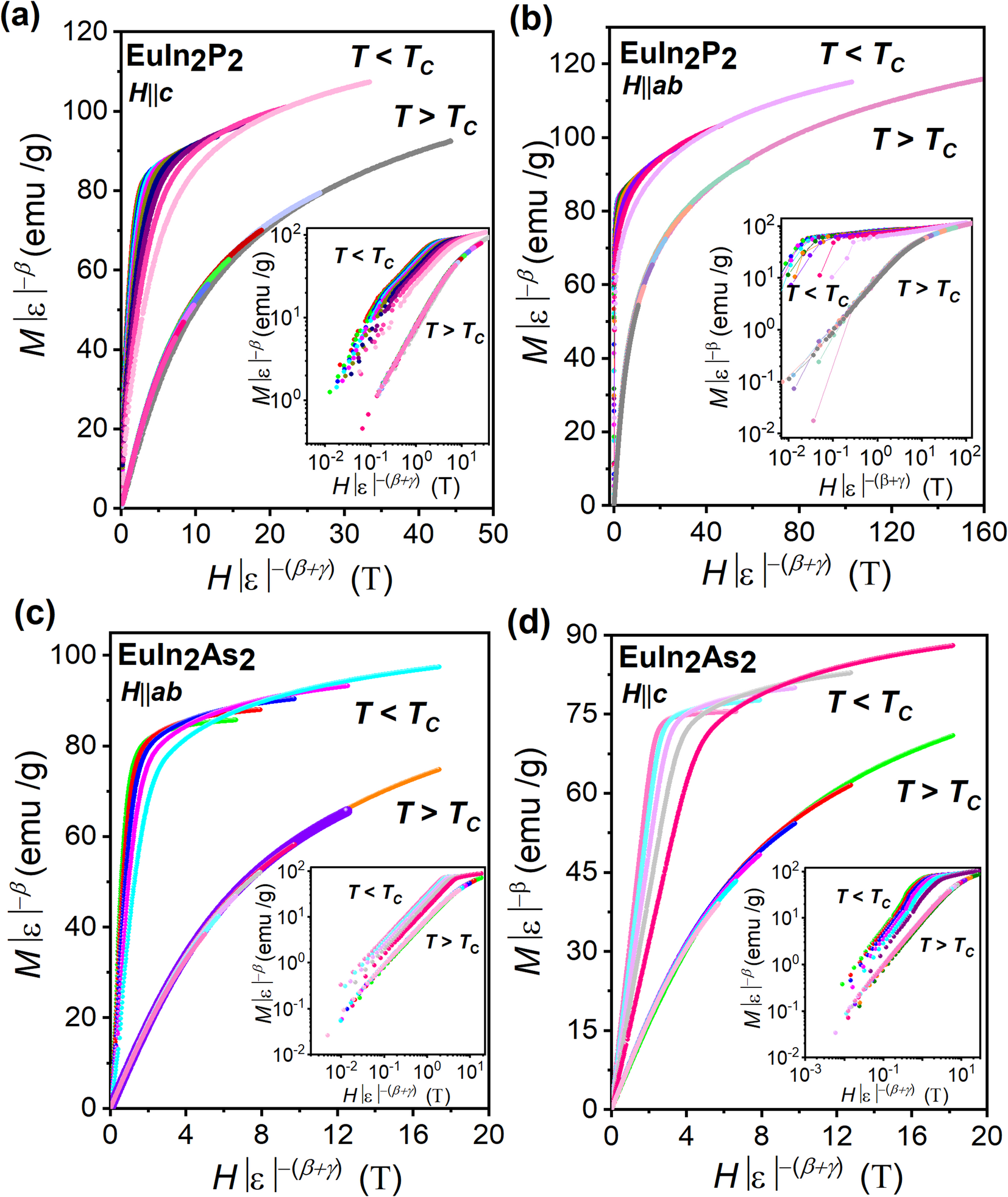
Fig. 8
From: Critical exponents and magnetocaloric response in Zintl phase EuIn2 X2 (X = As, P)

(a-b), Scaling plots above and below TC according to Eq. (4). The different symbols represent various temperatures. Inset shows the same plot using the log-log scale, indicating two universal curves below and above TC, respectively, for H||c and H||ab plane for EuIn2P2. (c-d) The same plots for EuIn2As2 above and below TC, for H||ab plane and H||c axis, respectively.