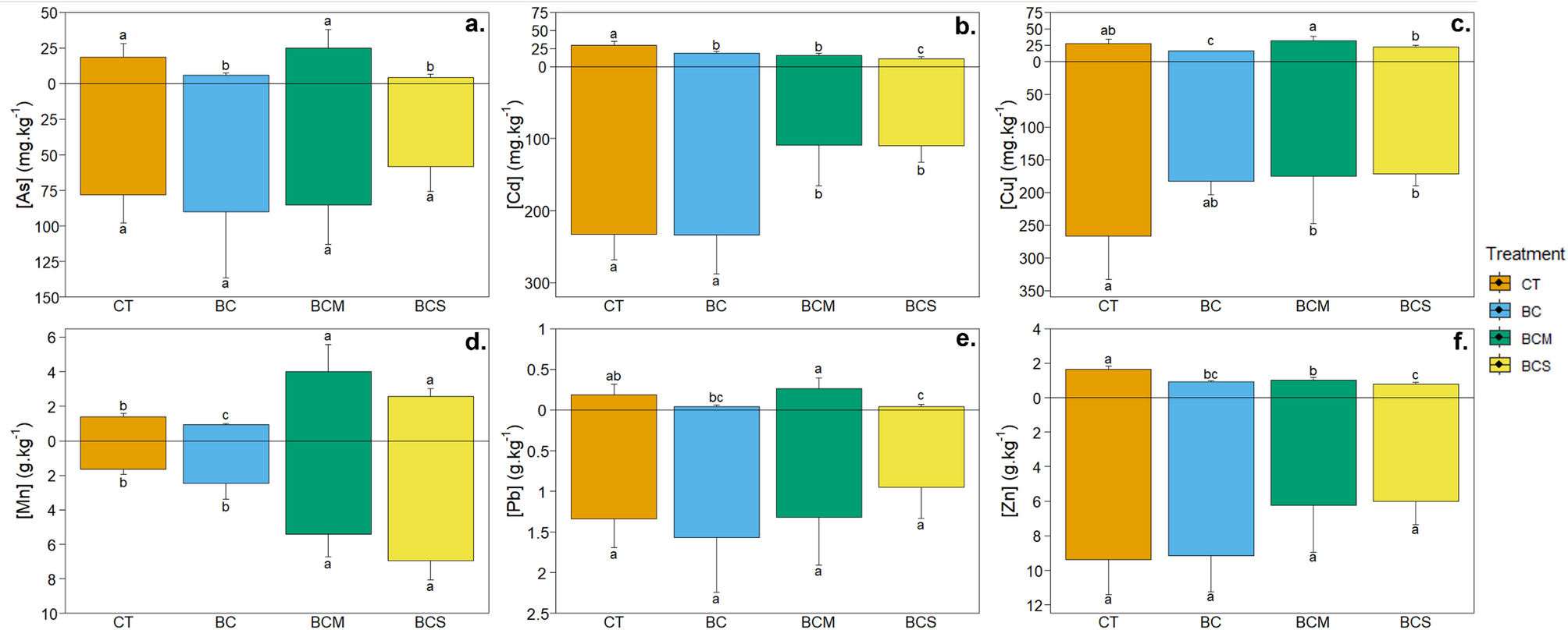
Fig. 4

Concentrations of As (a), Cd (b), Cu (c), Mn (d), Pb (e), and Zn (f) in the shoot and roots of Lolium perenne after 1 month of growth in the contaminated soil non amended (CT) or amended with 2% (w/w) of biochar (BC), AMOchar made using molasses (BCM) or AMOchar made using sucrose (BCS). Letters indicate significant differences between treatments (p < 0.05) (n = 4). Effect sizes: As = 0.713 (Shoot) & -0.0383 (Root); Cd = 0.732 (Shoot) & 0.644 (Root); Cu = 0.695 (Shoot) & 0.270 (Root); Mn = 0.834 (Shoot) & 0.805 (Root); Pb = 0.522 (Shoot) & 0.0583 (Root); Zn = 0.607 (Shoot) & 0.217 (Root). Confidence intervals: As = 0.6–0.909 (Shoot) & 0.0459–0.821 (Root) ; Cd = 0.528–0.937 (Shoot) & 0.49–0.923 (Root) ; Cu = 0.428–0.927 (Shoot) & 0.136–0.903 (Root) ; Mn = 0.625–0.949 (Shoot) & 0.614–0.945 (Root) ; Pb = 0.351–0.88 (Shoot) & 0.0934–0.822 (Root) ; Zn = 0.344–0.92 (Shoot) & 0.114–0.867 (Root).