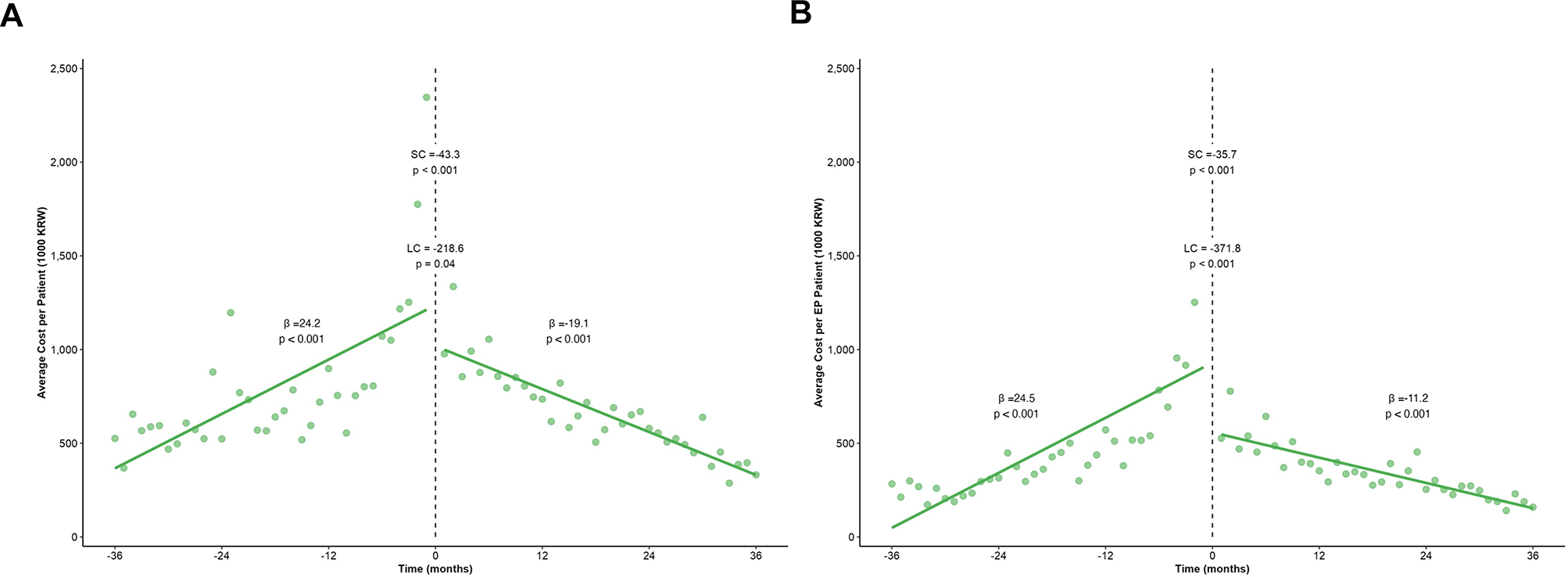
Fig. 1

Interrupted time series analysis of medical costs for the CES group. (A) Total medical costs and (B) epilepsy-specific medical costs over 36 months before and after surgery. The vertical dashed line indicates the time of surgical intervention (month 0). Green dots represent average monthly costs per patient. Direct CES costs at time 0 excluded. Solid green lines show fitted regression lines. β represents the slope coefficient (monthly change in costs), LC represents the level change at intervention, and SC represents the slope change after intervention. All costs are presented in 1000 KRW. CES, cranial epilepsy surgery; β, beta coefficient; LC, level change; SC, slope change; KRW, Korean Won.