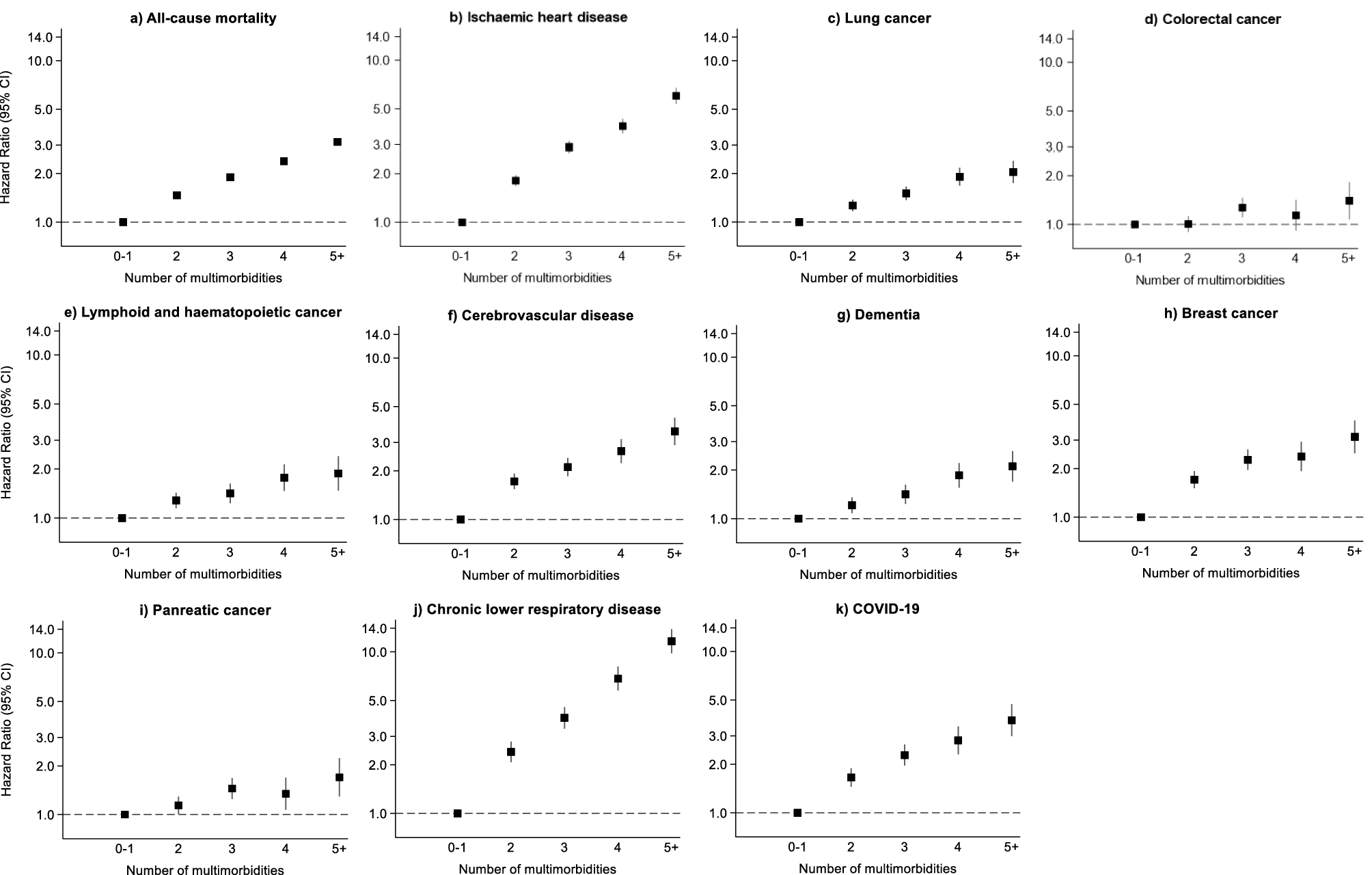
Fig. 1

Association between number of multimorbid conditions with all-cause mortality and the top 10 primary causes of death in the UK Biobank population (adjusted for age, sex, ethnicity, Townsend deprivation index and education).

Association between number of multimorbid conditions with all-cause mortality and the top 10 primary causes of death in the UK Biobank population (adjusted for age, sex, ethnicity, Townsend deprivation index and education).