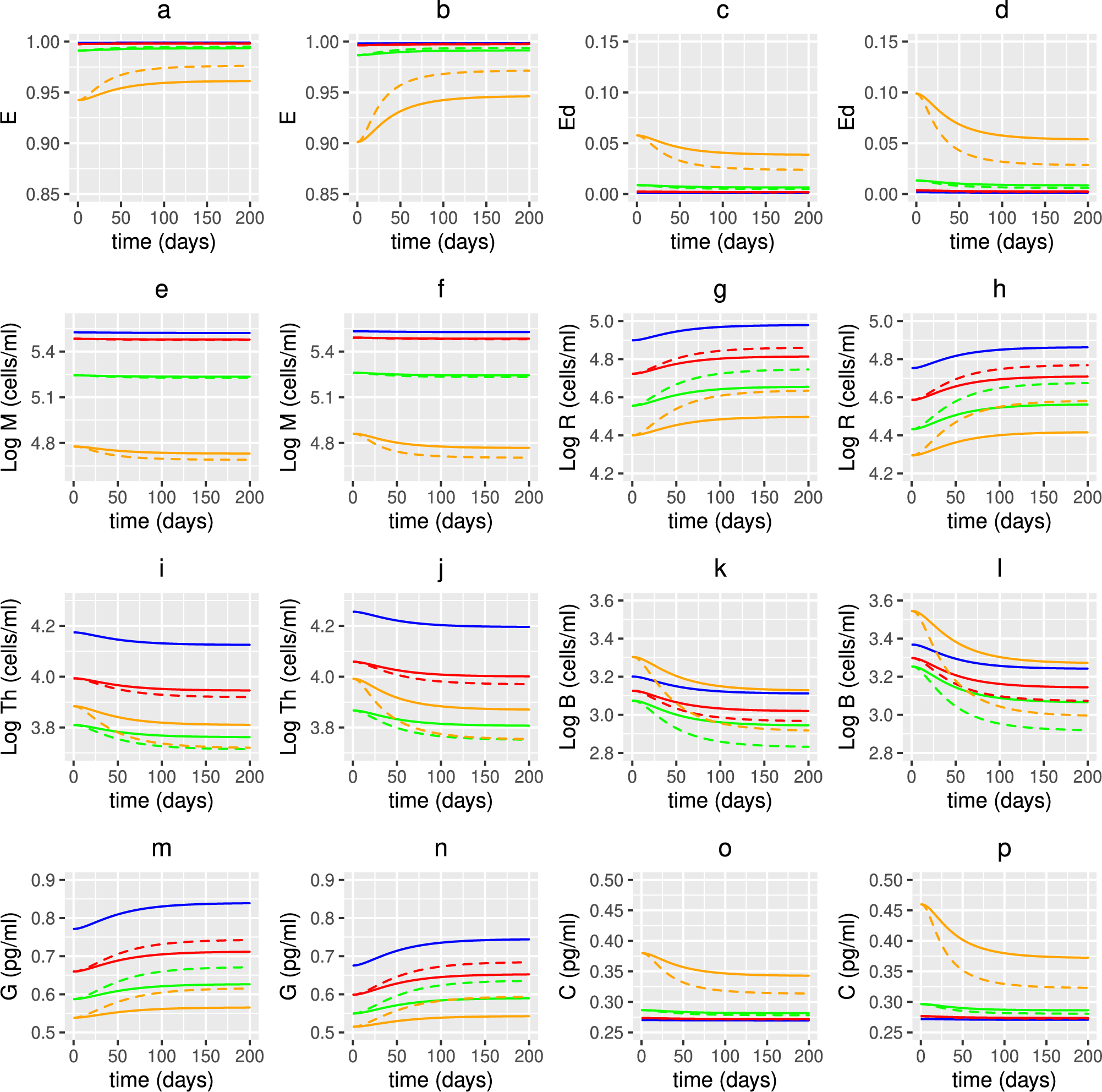
Fig. 14

Predicted effects of vitamin D supplementation on epithelial cells, immune cell densities and cytokine concentrations with age. The predicted volume fraction of (a, b) healthy and (c, d) damaged epithelial cells, densities of (e, f) macrophages, (g, h) regulatory cells, (i, j) T-cells and (k, l) plasma B-cells and concentrations of (m, n) anti- and (o, p) pro-inflammatory cytokines with age, from solving Eqs. (3)–(23) with baseline parameters given in Tables 1, 2 and 3 and age functions given in Figs. 2, 3, 4 and 5. A constant (solid lines) or age-dependent (dashed lines) daily intervention of vitamin D supplements is administered from day 0 to day 200 to individuals aged 20 (blue), 40 (red), 60 (green) and 80 (orange) years old. Baseline values (no supplementation) for vitamin D intake in (a, c, e, g, i, k, m, o) are \(D^{0}=4.8\) and \(D^{1}=0.5\) nmol/L day−1 and in (b, d, f, h, j, l, n, p) are \(D^{0}=3.2\) and \(D^{1}=0.35\) nmol/L day−1. The fixed increase in production of 25(OH)D from supplements across all ages is 1.3 nmol/L day−1 (solid lines) and the age dependent increase is 1.3 nmol/L day−1 at 20 years, 2 nmol/L day−1 at 40 years, 2.7 nmol/L day−1 at 60 years and 3.7 nmol/L day−1 at 80 years (dashed lines).