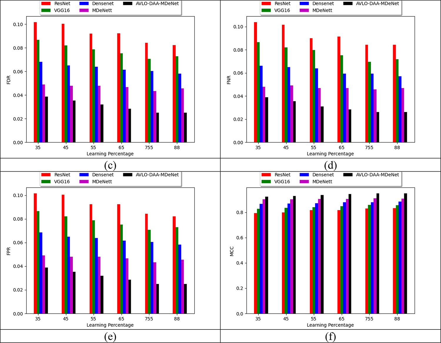
Fig. 10


Analyzing the classification process over the plant disease framework in terms of learning percentage by assimilating with algorithms and classifiers regarding (a) Accuracy, (b) F1-Score, (c) FDR, (d) FNR, (e) FPR, and (f) MCC.


Analyzing the classification process over the plant disease framework in terms of learning percentage by assimilating with algorithms and classifiers regarding (a) Accuracy, (b) F1-Score, (c) FDR, (d) FNR, (e) FPR, and (f) MCC.