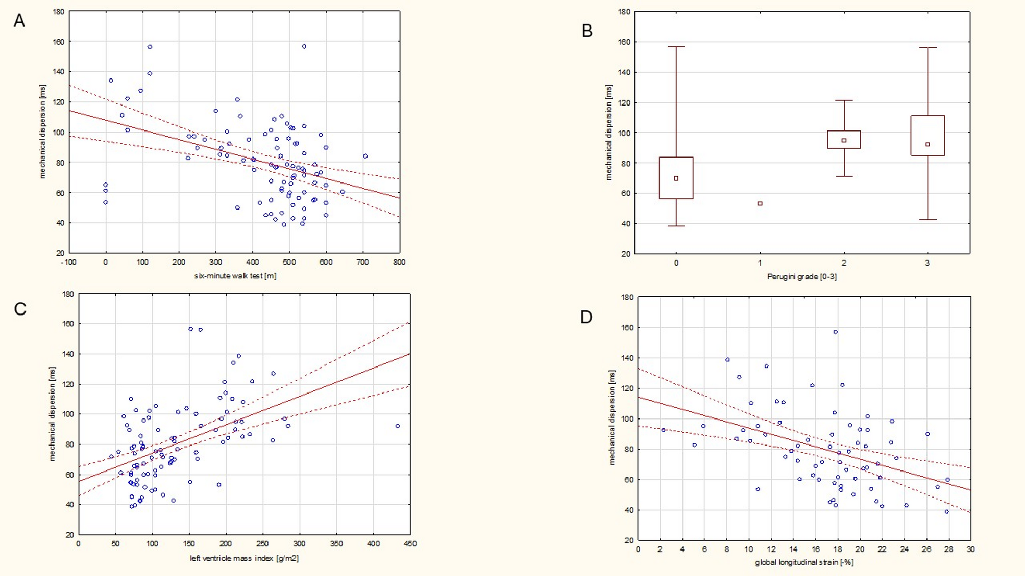
Fig. 2

The correlations of LV mechanical dispersion value [ms] calculated as the standard deviation of time-to-peak longitudinal strain across the entire cardiac cycle with the six-minute walk test results [m] (panel (A), p < 0.001, r = – 0.41), Perugini grades (panel (B), p < 0.001, ρ = 0.475), LV mass index [g/m2] (panel (C), p < 0.001, r = 0.50), and global longitudinal strain value [%] (panel (D), p < 0.001, r = – 0.43). Correlation analyses were performed, with Pearson’s correlation coefficient (r) for Panels (A), (C), and (D), and Spearman’s rank correlation coefficient (ρ) for Panel (B).