Fig. 4
From: Simulating nationwide coupled disease and fear spread in an agent-based model

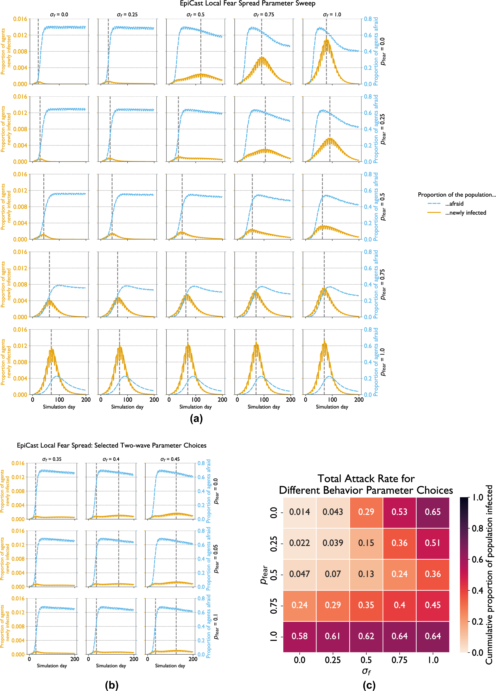
EpiCast local fear spread sensitivity analysis: New cases by day (with peaks indicated by dashed vertical line) for (a) a coarse-grained parameter search and (b) a finer-grained search highlighting cases with multiple waves, and (c) total attack rate for various rates of purely fear-based withdrawals (\(p_\text {fear}\)) and levels of susceptibility scaling due to fear (\(\sigma _f\)) with only local fear spread. This parameter search compares different levels of susceptibility to infection for fearful agents (\(\sigma _f\)) and rates of withdrawal by fearful agents (\(p_\text {fear}\)).