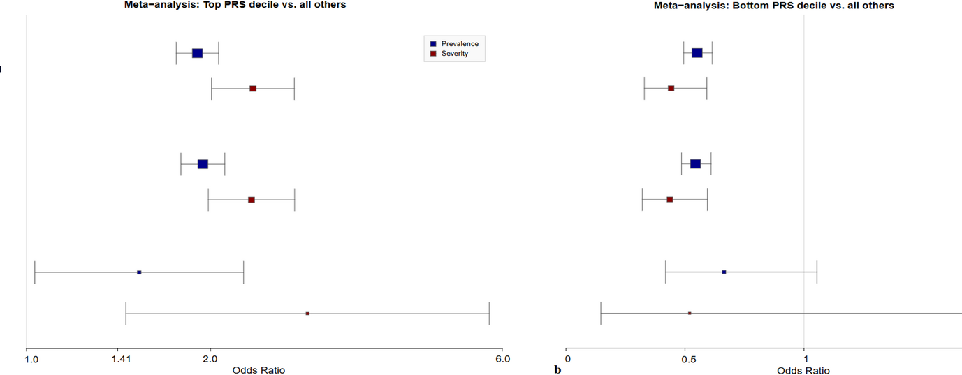
Fig. 3

Univariable analysis forest plot. Meta-analyzed odds of prevalent (severe and non-severe) and severe diverticulitis on univariable analysis for a, the top polygenic risk decile compared to the remaining 90% of the cohort, and b, the bottom polygenic risk decile compared to the remaining 90% of the cohort. Whiskers denote 95% confidence interval. Larger odds ratio boxes signify smaller p-values.