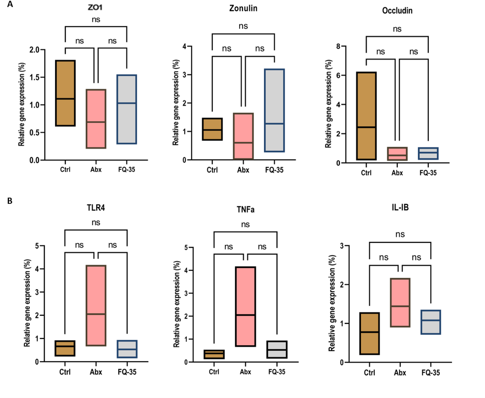
Fig. 8

Gene expression profile of gut and brain integrity markers (A) The expression profile of gut integrity markers ZO1, Zonulin, and Occludin in Control (Ctrl), Abx and FQ-35 groups. (B) Gene expression profile of proinflammatory markers TLR4, TNFa, and IL-1B in the brain tissue across study groups (Control (Ctrl), Abx, and FQ-35).