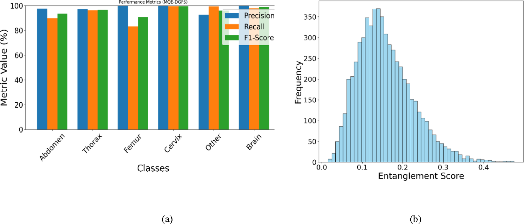
Fig. 8

(a) Class-wise evaluation metrics for the DG-QFS method show the consistent performance across all fetal US plane classes, with Brain and Cervix achieving near-perfect values. (b) The entanglement score distribution results that entangled features from (0.1–0.2) dominate the feature space, contributing to discriminative performance in classification.