Thank you for visiting nature.com. You are using a browser version with limited support for CSS. To obtain
the best experience, we recommend you use a more up to date browser (or turn off compatibility mode in
Internet Explorer). In the meantime, to ensure continued support, we are displaying the site without styles
and JavaScript.
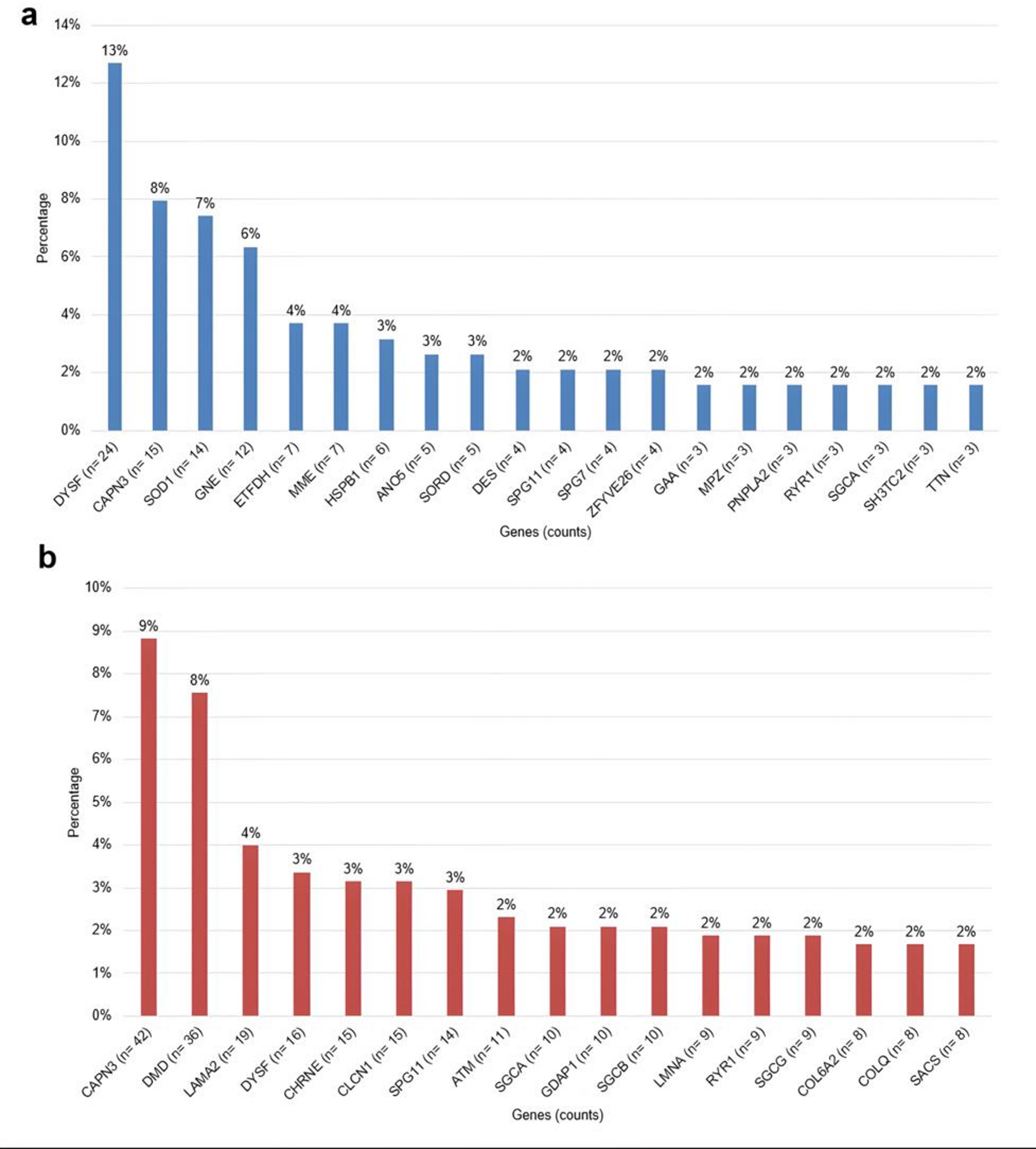
The distribution of mutated genes among children and adults. Figure 4a The distribution of mutated genes in individuals with adulthood-onset phenotypes. Figure 4b The distribution of mutated genes in individuals with childhood-onset phenotypes.