Fig. 3

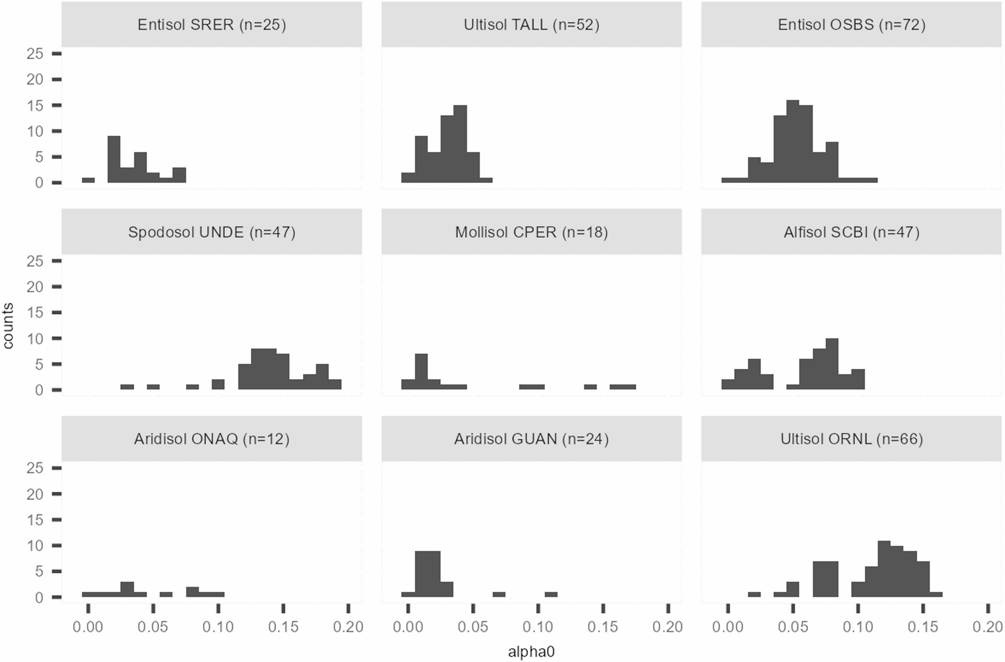
Histograms of estimated asymptotic parameter \(\alpha _{0}\) from nine NEON field sites. The letter n stands for the number of drydown events consisting of the histogram.

Histograms of estimated asymptotic parameter \(\alpha _{0}\) from nine NEON field sites. The letter n stands for the number of drydown events consisting of the histogram.