Fig. 4

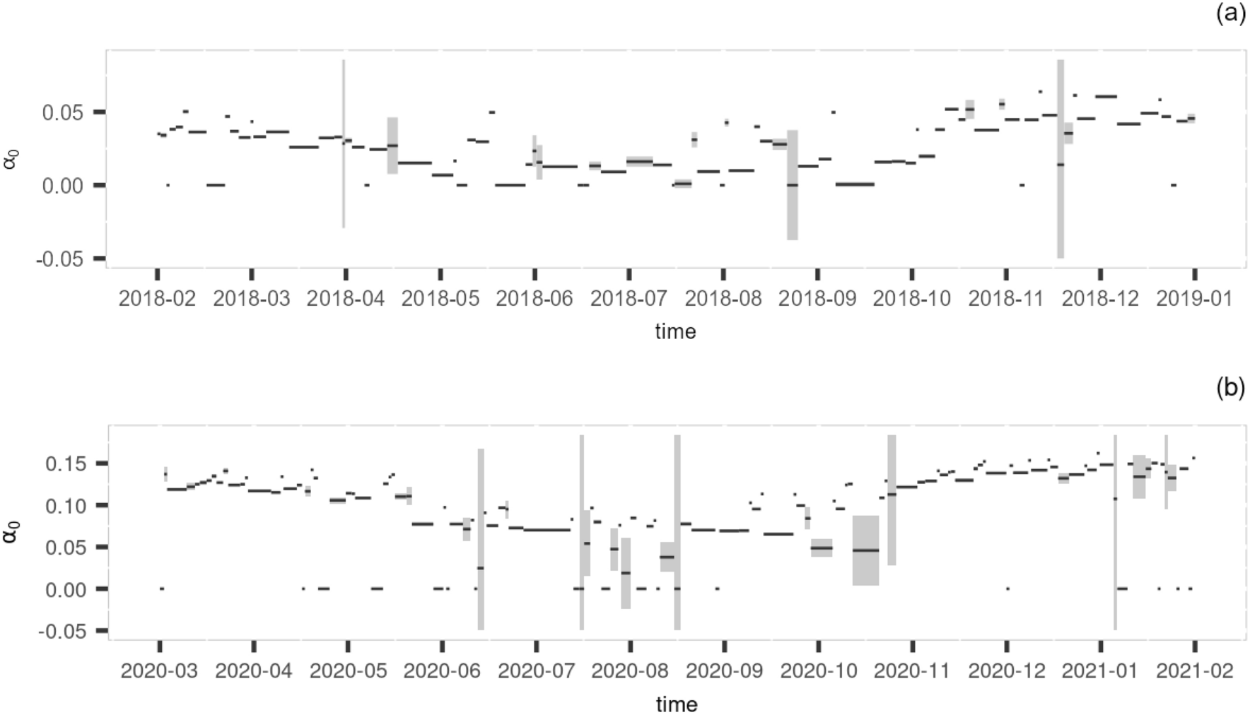
The estimated asymptotic parameter \(\alpha _{0}\) plotted over time along with the confidence intervals for site TALL (a) and ORNL (b).

The estimated asymptotic parameter \(\alpha _{0}\) plotted over time along with the confidence intervals for site TALL (a) and ORNL (b).