Fig. 2
From: Soil management strategies drive divergent impacts on pathogens and environmental resistomes

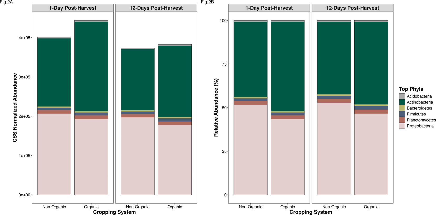
Top abundant phyla of the microbiome. Phyla that constitute the top 0.5% most abundant phyla of non-organic and organic cropping system soils by 1-day and 12-days post-harvest. (A) Cumulative sum scaled (CSS) normalized abundance of top phyla. (B) Relative abundance of top phyla.