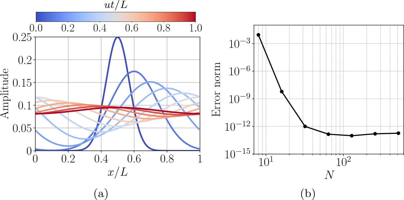
Figure 5
From: Spectral quantum algorithm for passive scalar transport in shear flows

Statevector simulations of the one-dimensional advection–diffusion equation, showing (a) the evolution of the quantum amplitudes (and thus the solution) for \(N=128\) grid points, and (b) the error norm versus grid size N. The error norm is obtained with respect to the normalized solution of Eq. (28). The time evolution is done by a single time step.