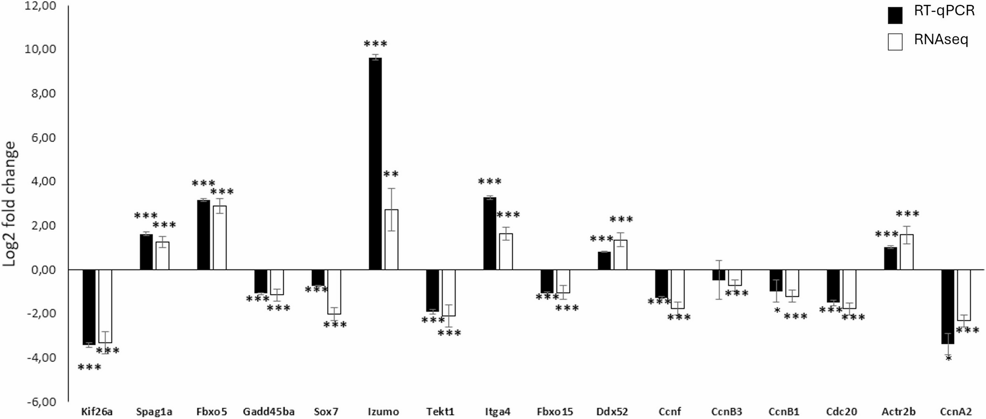
Fig. 7

Validation of gene expression resulting from RNA-seq by the RT-qPCR approach using 16 reproduction-associated genes. The x-axis displays the gene names. The y-axis displays the log2 fold change of the gene expression between genotypic males and temperature-induced males of C. gibelio. A positive log2 fold change in the gene expression indicates that the gene was upregulated in genotypic males compared to temperature-induced males. A negative log2 fold change indicates that the gene was downregulated in genotypic males compared to temperature-induced males. The data represents the means of five independent biological replicates, and bars represent standard deviation. Asterisks indicate statistically significant differences in the log2 fold change between the two male sex determination systems of C. gibelio based on Student’s t-test: *p < 0.05, **p < 0.01, ***p < 0.001.