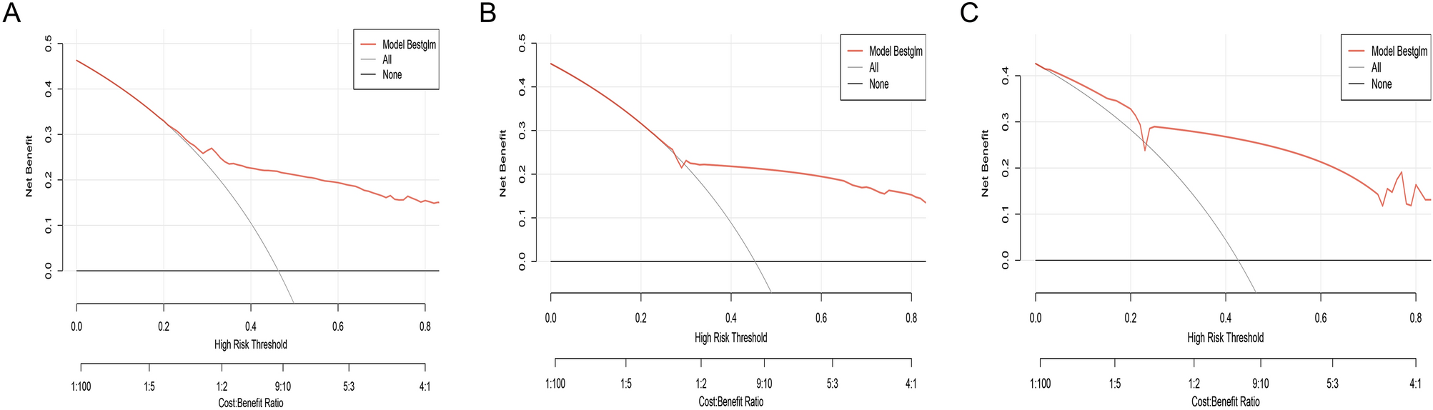
Fig. 5

Decision curve analyses (DCA) of nomogram and ALNM in training cohort (A), internal validation cohort (B) and external validation cohort (C).

Decision curve analyses (DCA) of nomogram and ALNM in training cohort (A), internal validation cohort (B) and external validation cohort (C).