Fig. 1
From: Research on parameter optimization design of coreless transformer based on genetic algorithm

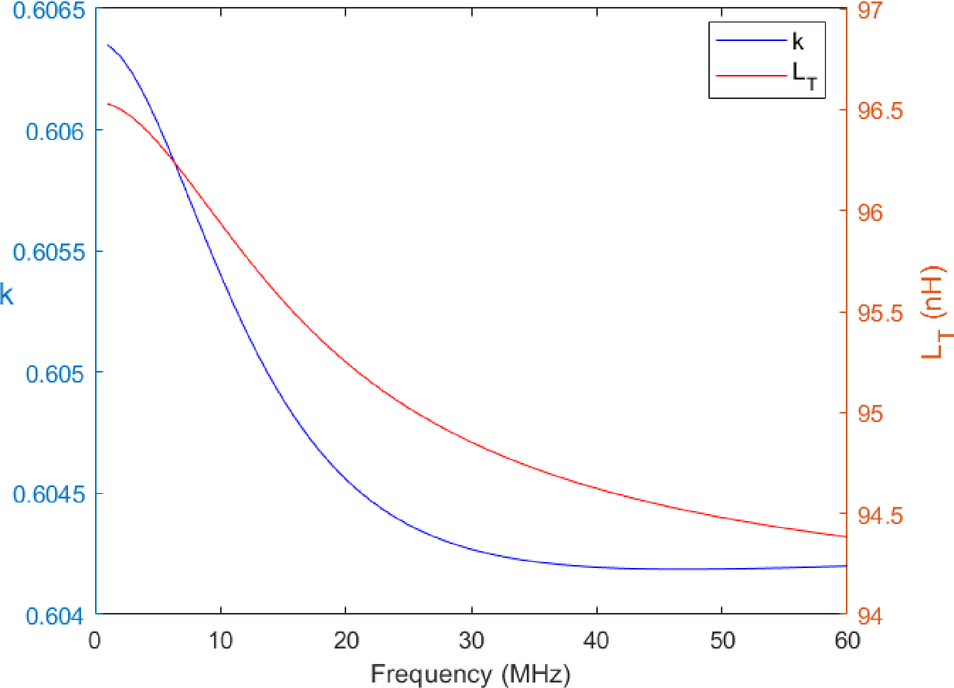
The coupling coefficient k and self-inductance LT as a function of frequency.
From: Research on parameter optimization design of coreless transformer based on genetic algorithm

The coupling coefficient k and self-inductance LT as a function of frequency.