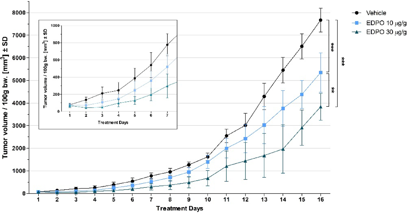
Fig. 5

Effect of EDPO on 4T1 tumor growth in female BALB/c mice. Calculated tumor volumes are represented as mean ± SD mm3 normalized for 100 g of animal body weight. One-way ANOVA was used for statistical analysis, with ** and *** indicating significance at p < 0.01 and p < 0.001, respectively. (n = 7)