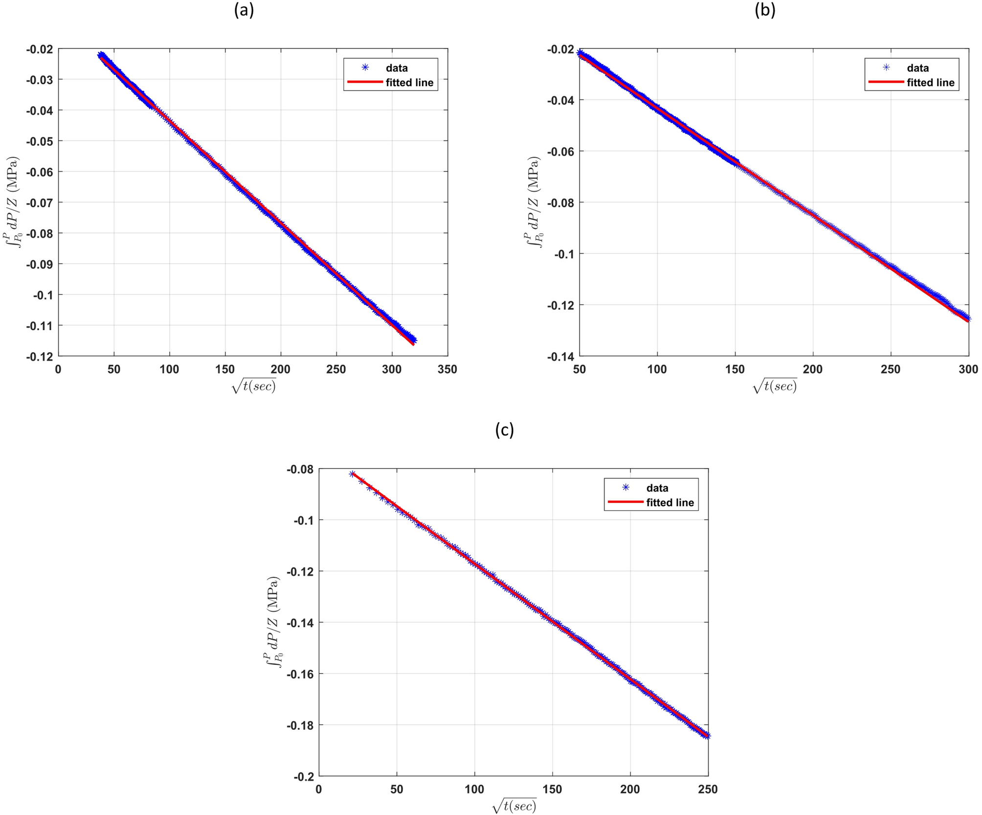
Fig. 7
From: An experimental study and mathematical formulation for hydrogen diffusion in water

Plot of \(\:{\int\:}_{{P}_{i}}^{P}\frac{dP}{{Z}_{g}}\) versus \(\:\sqrt{t}\) for the 3 cases of hydrogen diffusion coefficient tests: Case 1a (a), Case 2a (b), Case 3b (c) in the second region and their fitted lines.