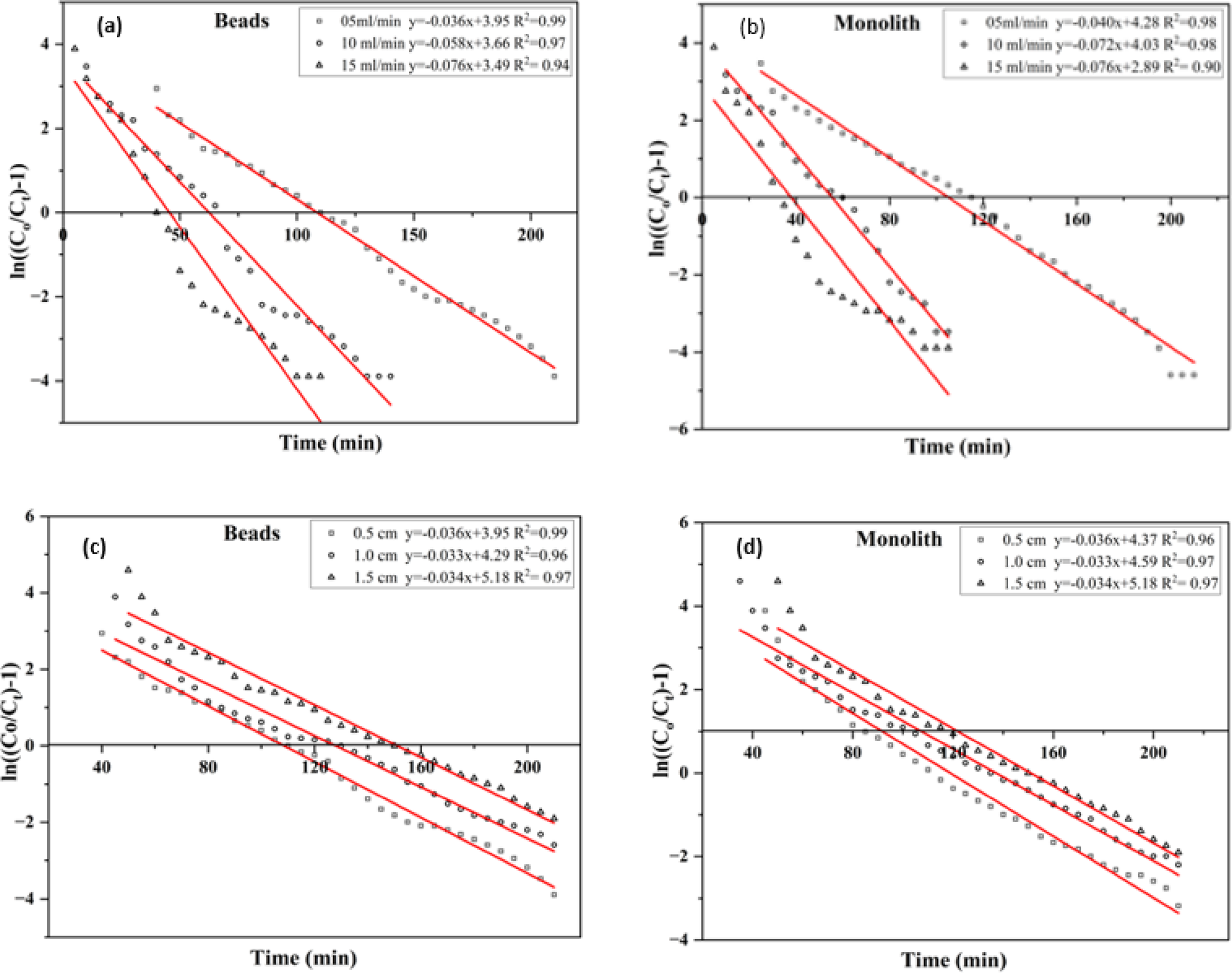
Fig. 13
From: Performance evaluation of 3D-printed geopolymer monoliths for cadmium adsorption

Linear plots based on the Thomas model for beads and monoliths: a, b at varying flow rates, and c, d at different bed heights. Experimental data points are shown as dots, with lines representing the model predictions.