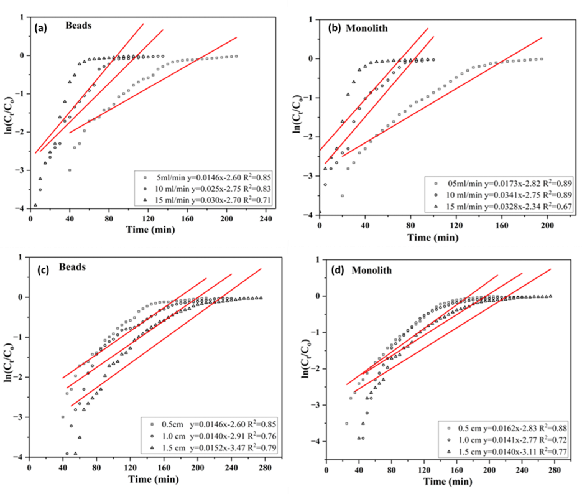
Fig. 14
From: Performance evaluation of 3D-printed geopolymer monoliths for cadmium adsorption

Linear plots based on the Adams–Bohart model for bead and monolith: a, b at varying flow rate, and c, d at different bed heights. Experimental data points are shown as dots, with lines representing the model predictions.