Fig. 3
From: On the coincidence between the close passage of HD7977 and the Pliocene-Pleistocene transition

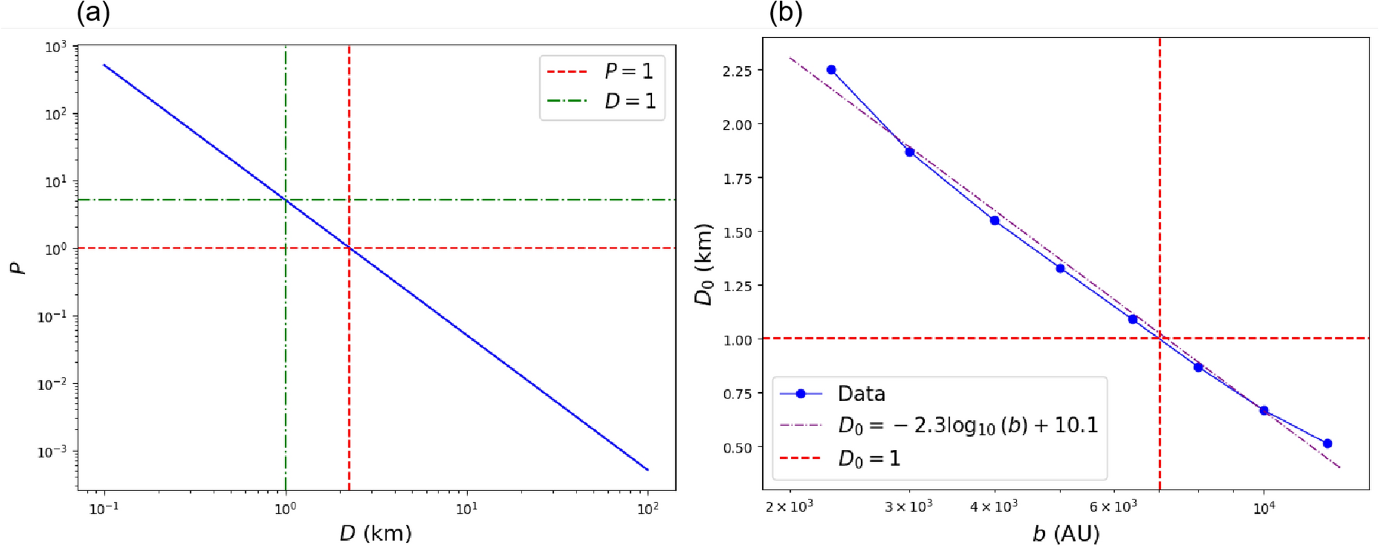
(a) Collision probability (P) with Earth as a function of Oort Cloud comet diameter (D). The critical diameter \(D_0\) corresponding to a unit collision probability (\(P=1\)) is determined as 2.25 km. For \(D=1\) km, the derived probability \(P=5.08\) suggests an estimated \(\sim 5\) potential Earth-colliding comets within the modeled parameter space. (b) Threshold diameter \(D_0\) versus impact parameter b. The relationship exhibits a logarithmic dependence, yielding \(b\approx 7,000\) AU at \(D_0=1\) km.