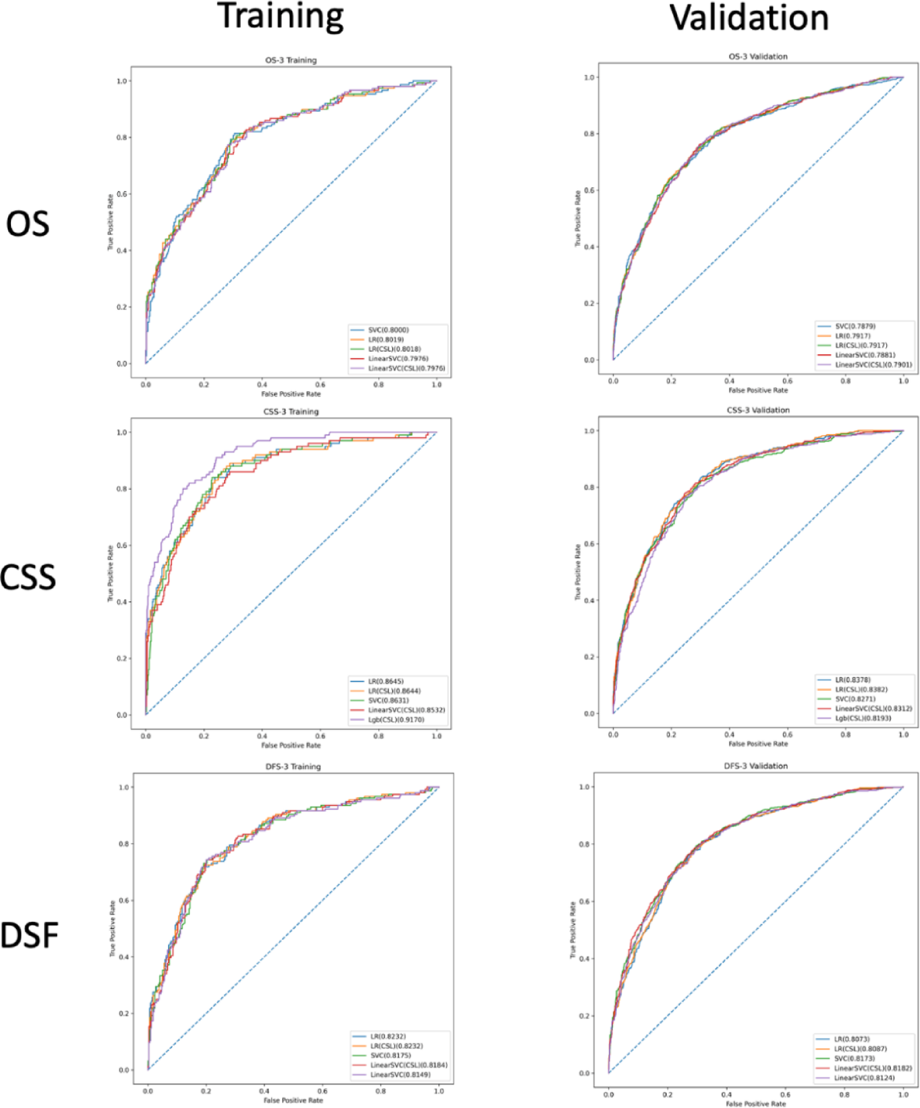
Fig. 1

Comparison of the best 5 models upon training and their results upon validation at 3 years. From left to right from top to bottom: OS training and validation at 3 years, CSS training and validation at 3 years, DFS training and validation at 3 years. OS: Overall Survival; CSS: Cancer Specific Survival; DFS: Disease Free Suvival.