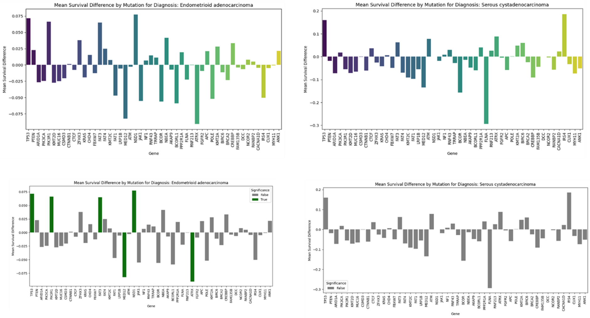
Figure 6. Mean survival difference between patients with mutated versus non-mutated genes per subtype

Mean survival difference between patients with mutated versus non-mutated genes per subtype. Positive differences are linked to increased contribution to survival while negative ones are associated with reduced contribution survival.