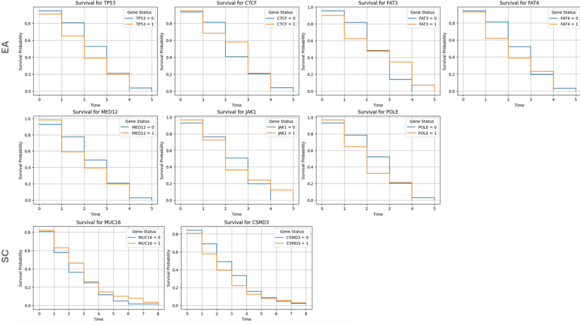
Figure 8. Kaplan Meier curves showing the survival pattern for the patients with affected (orange lines) versus non-affected genes (blue lines)

The number of patients per gene is included in Table S4.

The number of patients per gene is included in Table S4.