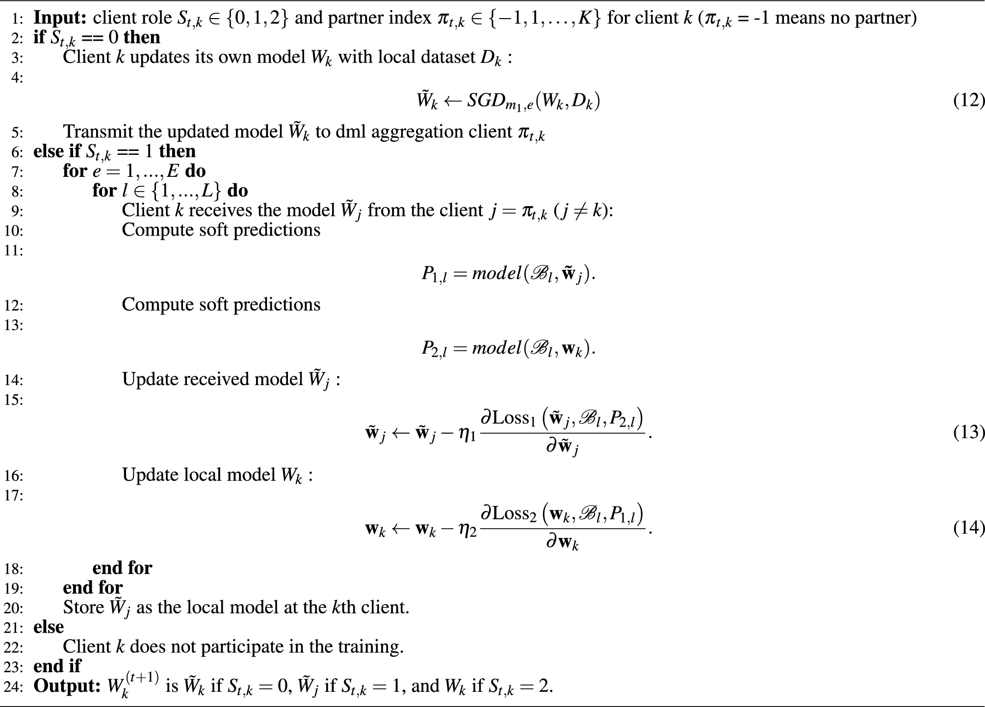
Algorithm 3
From: Semi-decentralized federated learning with client pairing for efficient mutual knowledge transfer

ClientLearningStep
From: Semi-decentralized federated learning with client pairing for efficient mutual knowledge transfer

ClientLearningStep