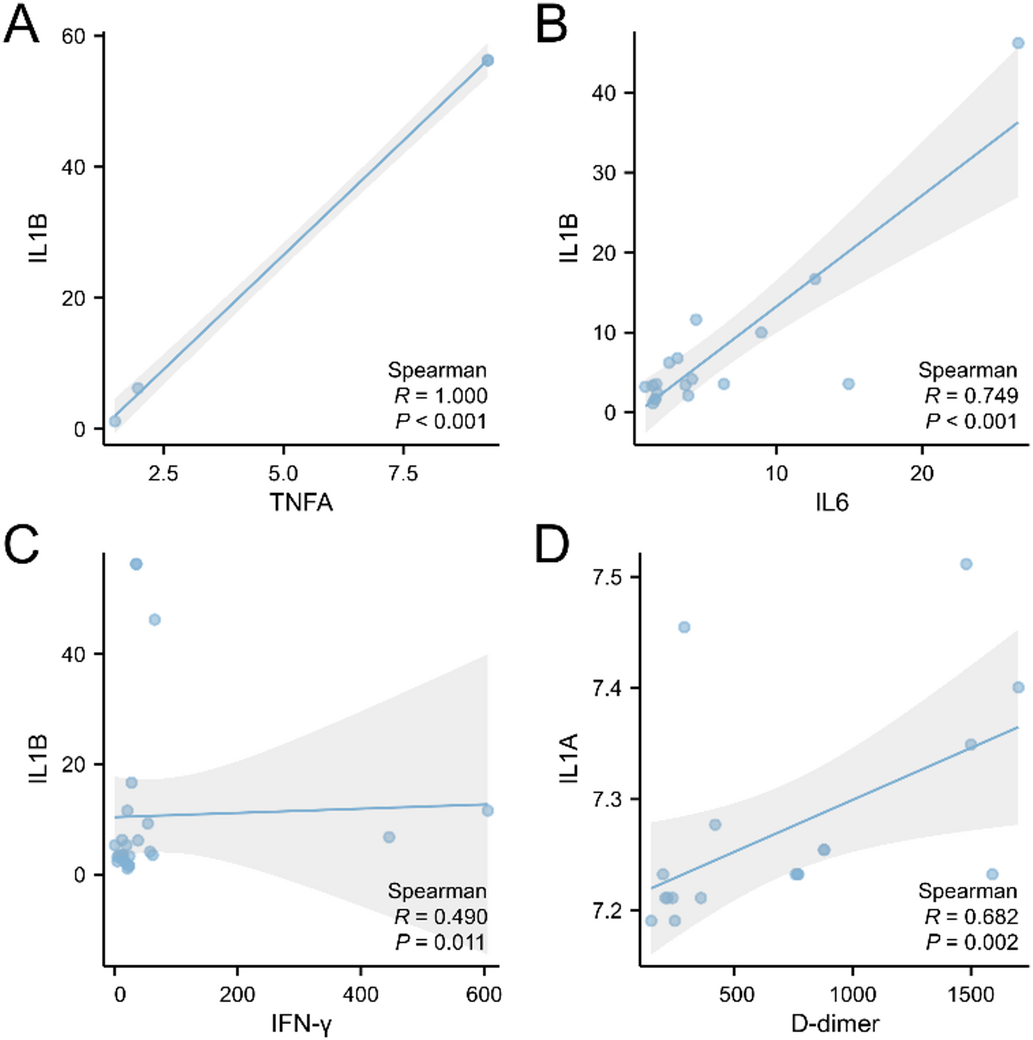
Fig. 9

Correlation analysis of IL-1 A and IL-1B with clinical indicators. (A) IL-1B is positively correlated with IL-6. (B) IL-B is positively correlated with TNFA. (C) IL-1B is positively correlated with IFN-γ. (D) IL-1 A is positively correlated with D-dimer.