Fig. 10
From: Evaluation of deflagration fracturing effect based on the HJC constitutive model

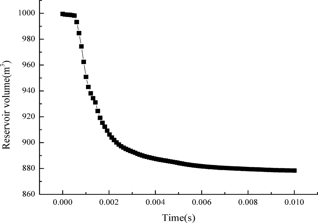
Target Block 2 reservoir volume changes over time.
From: Evaluation of deflagration fracturing effect based on the HJC constitutive model

Target Block 2 reservoir volume changes over time.