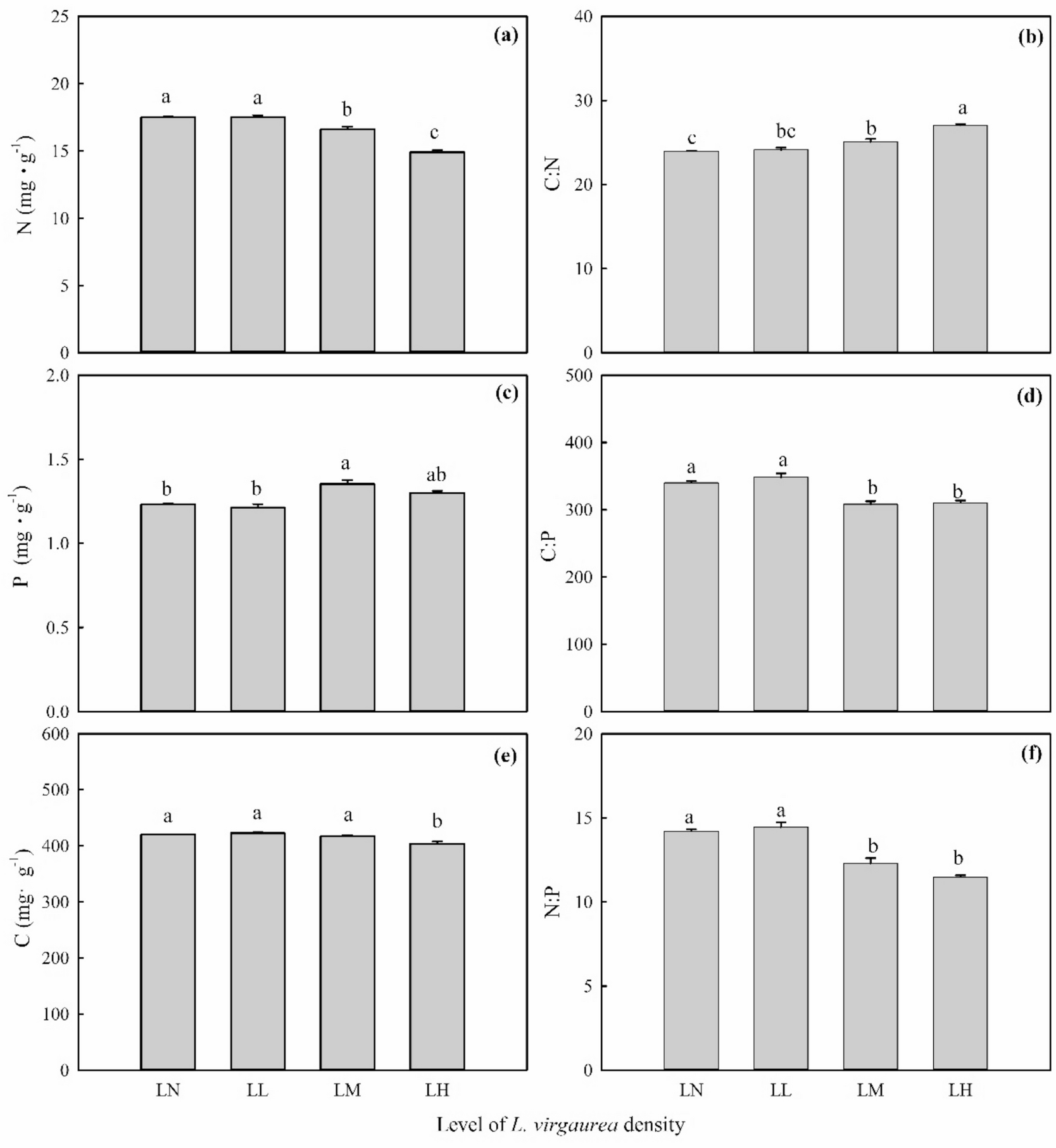
Fig. 5

Nitrogen (a), phosphorus (c) and carbon (e) contents, and C: N (b), C: P (d) and N: P (f) ratios of plants in the community with different levels of Ligularia virgaurea. Different lowercase letters represent significant differences (P < 0.05) among different density of L. virgaurea.