Fig. 4
From: TIR-domain-containing protein C as modulator of innate immune checkpoints

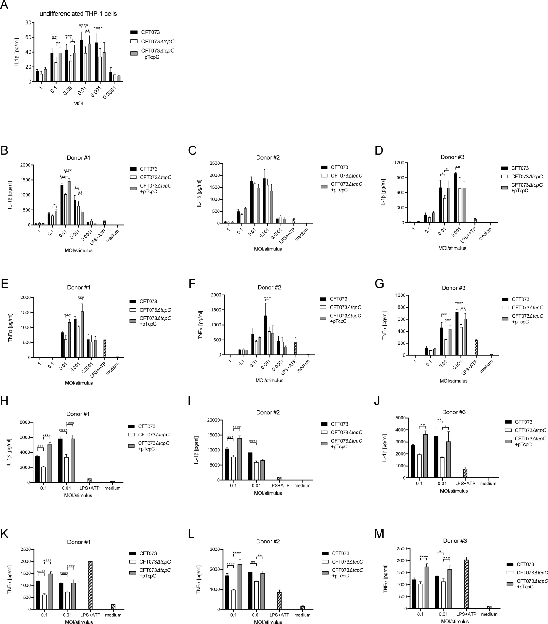
TcpC harnesses CFT073 induced immune responses by monocytic THP-1 cells, PBMC and peripheral blood monocytes. We infected monocytic THP-1 cells for 5 h with CFT073, CFT073ΔtcpC or CFT073ΔtcpC + pTcpC with different MOIs as indicated and determined IL-1β in the culture supernatant (A). The graph in (A) depicts data from three independent experiments, each experiment was performed with three replicates. Peripheral blood mononuclear cells from three healthy blood donors were infected for 5 h with CFT073, CFT073ΔtcpC or CFT073ΔtcpC + pTcpC with different MOIs as indicated. We determined IL-1β (B–D) and TNFα (E–G) in the culture supernatant. Graphs in (B–G) depict three replicates. Peripheral blood monocytes from three healthy blood donors were infected as described for PBMCs and IL-1β (H–J) and TNFα levels (K–M) of culture supernatants were determined. Graphs in (H–M) depict three replicates. LPS + ATP served as positive, medium as negative control. *P < 0.05, **P < 0.01, ***P < 0.001, ****P < 0.0001, two-way ANOVA, post hoc Tukey.