Fig. 5
From: Probing ultrafast foam homogenization with grating-based X-ray dark-field imaging

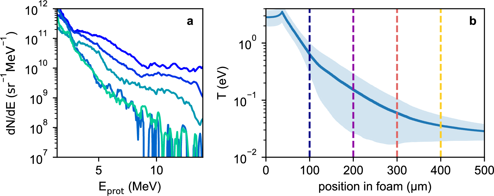
Spectrum for several diagnostic shots (in different colors) of the proton beam are shown in (a). The modeled temperature distribution within the foam target after being fully heated by the proton beam is displayed in (b). The confidence interval indicates the temperature uncertainty due to shot-to-shot fluctuations of the measured proton spectra (a). Vertical dotted lines indicate the positions, at which DF-values are measured for the plot in Fig. 4.