Fig. 13
From: Design and lmplementation of wheel-leg-paddle lntegrated structure amphibious robot

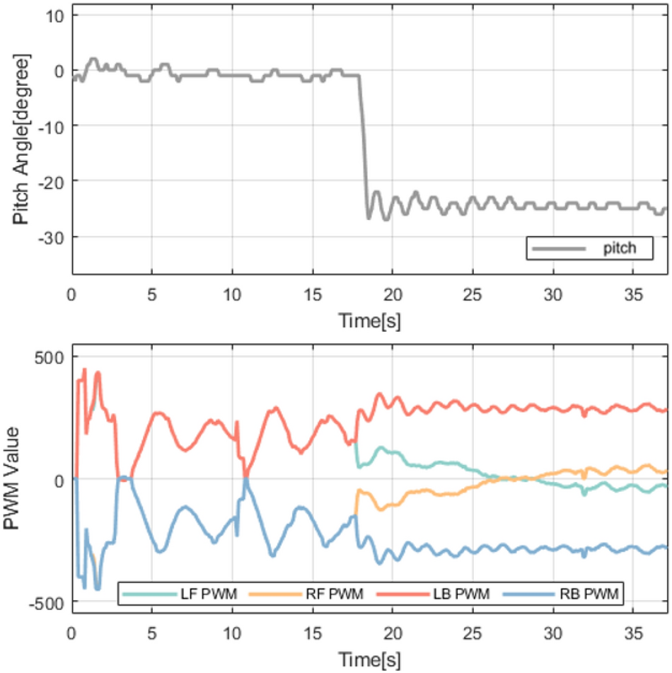
Changes in the rotational speed of the four Wheel-Leg-Paddle structures and the pitch angle of the Amp-beetle during depth-hold forward motion.
From: Design and lmplementation of wheel-leg-paddle lntegrated structure amphibious robot

Changes in the rotational speed of the four Wheel-Leg-Paddle structures and the pitch angle of the Amp-beetle during depth-hold forward motion.