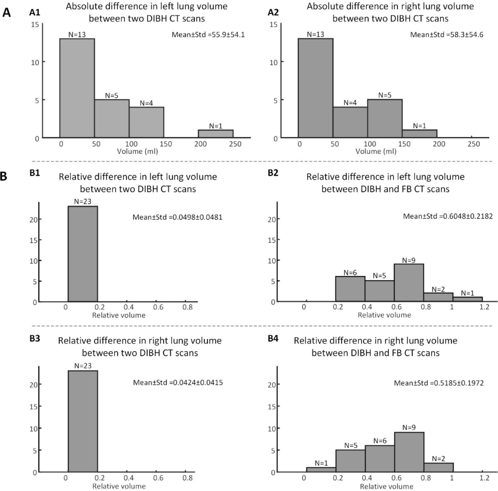
Fig. 4

Quantitative assessment of chest anatomy reproducibility. (a) Histograms present left (a1) and right (a2) lung volume differences between two DIBH scans. (b) Histograms present the left (b1, b2) and right (b3, b4) lung volume differences between two DIBH scans and between DIBH and FB scans, respectively. Relative difference in lung volume was normalized by the lung volume in FB CT scan, i.e. (DIBH–FB)/FB. Y-axis represents the number of patients.