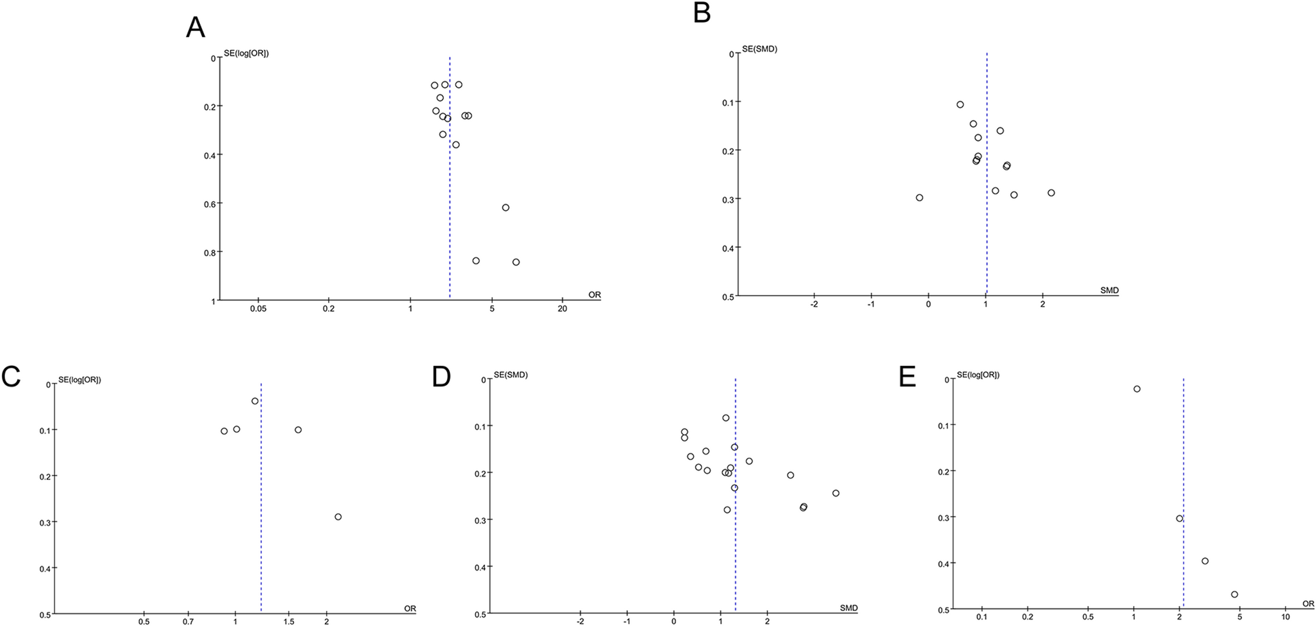
Fig. 6

Funnel plots for the evaluation of publication bias. (A) Funnel plot for the evaluation of publication bias for NLR (categorical) and DN; (B) Funnel plot for the evaluation of publication bias for NLR (continuous) and kidney function deterioration; (C) Funnel plot for the evaluation of publication bias for NLR and mortality; (D) Funnel plot for the evaluation of publication bias for NLR (continuous) and DN; (E) Funnel plot for the evaluation of publication bias for NLR (categorical) and kidney function deterioration.