Fig. 6
From: Electrical properties of PVA/PANI/LiI composite membranes

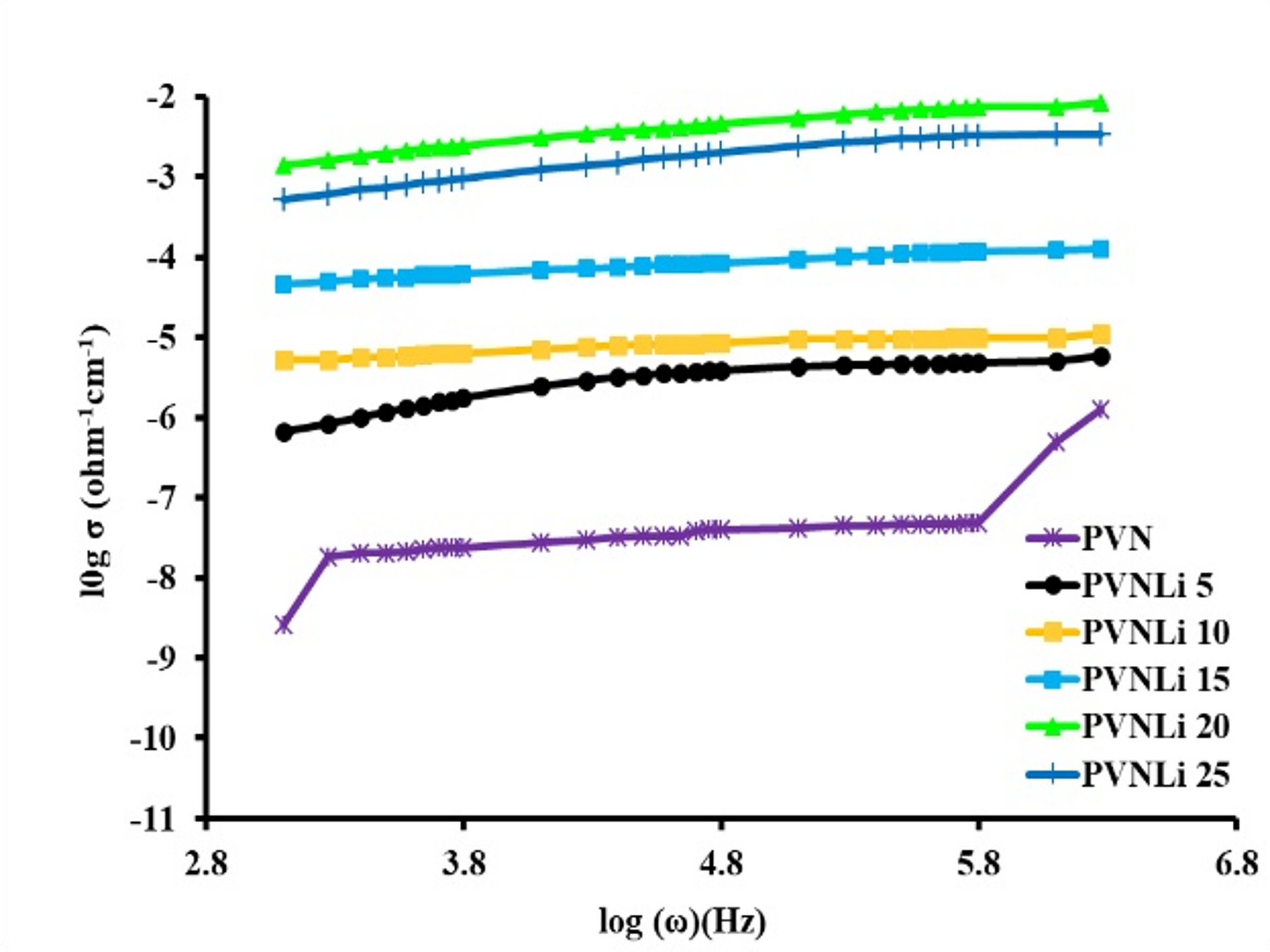
Frequency dependence plots of ac-conductivity of the investigated polyelectrolyte membranes.
From: Electrical properties of PVA/PANI/LiI composite membranes

Frequency dependence plots of ac-conductivity of the investigated polyelectrolyte membranes.