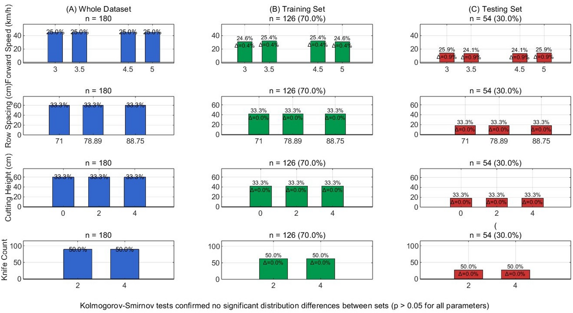
Fig. 13

Frequency distribution analysis of input parameters: (A) Whole dataset, (B) training set, (C) testing set. Histograms confirm proportional representation across groups.

Frequency distribution analysis of input parameters: (A) Whole dataset, (B) training set, (C) testing set. Histograms confirm proportional representation across groups.