Fig. 4
From: Altered static and dynamic intrinsic brain activity patterns in type 2 diabetic patients

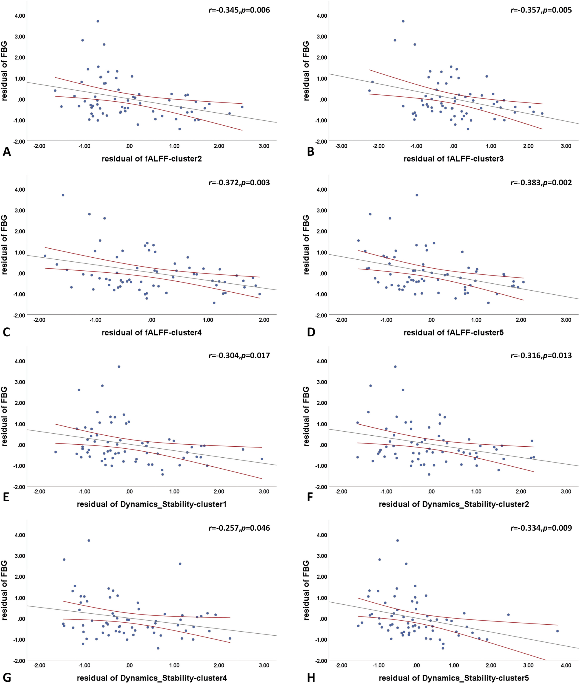
In the T2DM group, regions exhibiting fALFF differences including the bilateral precuneus, medial superior frontal gyrus, left inferior parietal lobule and right supramarginal gyrus showed negative correlations with FBG (A, B,C, D). Similarly, regions with DFS differences namely the bilateral precuneus, supramarginal gyrus and left middle frontal gyrus were also negatively correlated with FBG (E, F,G, H).