Fig. 1
From: Maltose metabolism in serum free CHO culture involves lysosomal acid α-glucosidase

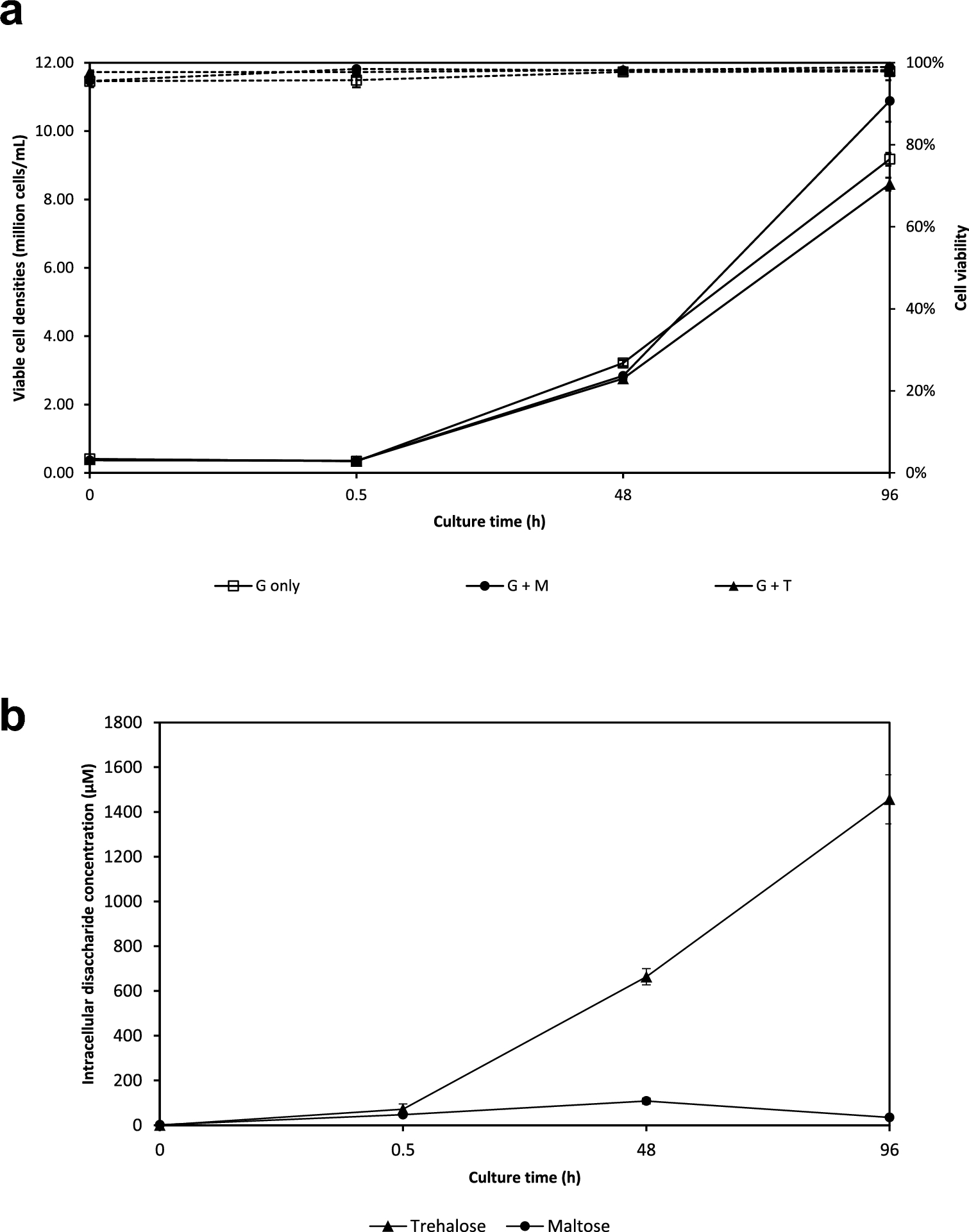
Growth profiles of CHO-K1 cells cultivated in protein-free chemically defined medium (PFCDM) with glucose, supplemented with maltose or trehalose, and quantification of intracellular disaccharide accumulation. CHO-K1 cells originally cultured in PFCDM with 6 g/l of glucose were sub-cultivated in PFCDM with 4 g/l glucose (□) and either 10 g/l of C12 maltose (●) or trehalose (▲). The cultures were monitored at 0, 0.5, 48 and 96 h post-inoculation to obtain their (a) viable cell densities (────) and cell viabilities (┅┅┅┅ ) and (b) intracellular disaccharide concentrations. Mean and s.d. values from 2 independent replicates are plotted.